عن Mathematics O Level Notes
O مستوى التطبيق ملاحظات الرياضيات للعلماء المستوى العادي.
المواضيع المدرجة:
التحول في المستوى:
يتضمن التحول في المستوى دراسة التحولات الهندسية المختلفة مثل الترجمات والانعكاسات والدوران والتوسع.
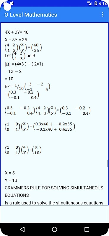
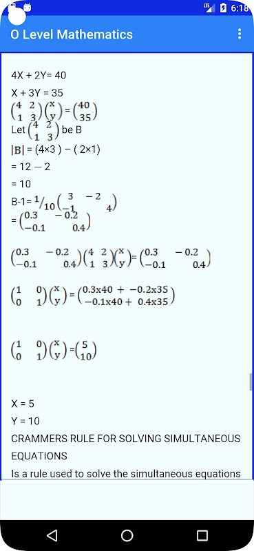
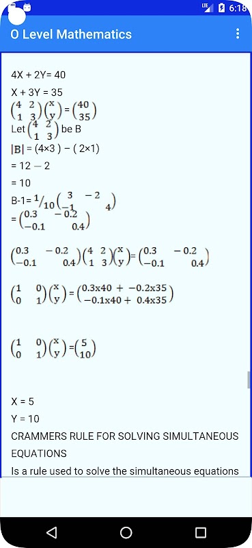
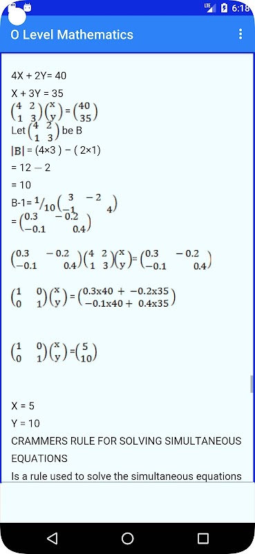
المصفوفات:
المصفوفات عبارة عن مصفوفات مستطيلة من الأرقام تستخدم لتمثيل وحل أنظمة المعادلات الخطية وإجراء عمليات حسابية مختلفة.
البرمجة الخطية:
تتعامل البرمجة الخطية مع مشاكل التحسين حيث يتم استخدام عدم المساواة الخطية للعثور على القيمة القصوى أو الدنيا لوظيفة موضوعية معينة ، مع مراعاة القيود.
احتمالا:
الاحتمال هو دراسة احتمالية وقوع الأحداث ، وهو يتضمن حساب فرص النتائج المختلفة في التجارب العشوائية.
ثلاثة أبعاد:
المتجهات هي كميات رياضية مع كل من الحجم والاتجاه. يتم استخدامها في تطبيقات مختلفة ، مثل الفيزياء والهندسة.
علم المثلثات:
علم المثلثات هو دراسة المثلثات وزواياها وجوانبها. يتضمن النسب المثلثية والوظائف وتطبيقاتها.
الأشكال ثلاثية الأبعاد - المساحات والأحجام:
يغطي هذا الموضوع مساحات وأحجام الأشكال ثلاثية الأبعاد مثل المكعبات والمنشورات والأهرامات والأسطوانات والأشكال الكروية.
تنسيق الهندسة:
تتضمن هندسة الإحداثيات استخدام الإحداثيات لدراسة الأشكال الهندسية والعلاقات بين النقاط والخطوط والمنحنيات في المستوى.
حسابات الأرض كمجال:
يركز هذا الموضوع على الطبيعة الكروية للأرض ويتضمن مفاهيم مثل خطوط الطول والعرض والدوائر الكبرى.
دائرة:
تتضمن الدائرة دراسة خصائص ومعادلات الدوائر وتطبيقاتها في الهندسة وهندسة الإحداثيات.
التسلسل والمتسلسلة:
يغطي هذا الموضوع المتتاليات والمتسلسلات الحسابية والهندسية وصيغها وحسابات المجموع.
وظيفة:
تتضمن الوظائف دراسة العلاقات الرياضية التي تعين كل عنصر في مجموعة واحدة إلى عنصر فريد في مجموعة أخرى.
إحصائيات:
الإحصاء هو دراسة جمع البيانات وتنظيمها وعرضها وتحليلها وتفسيرها لاتخاذ قرارات مستنيرة.
تشغيل وظيفة كثير الحدود:
يغطي هذا الموضوع العمليات المختلفة التي تتضمن دوال كثيرة الحدود ، مثل الجمع والطرح والضرب والقسمة.
الأسعار والاختلافات:
تستكشف المعدلات والاختلافات مفهوم معدلات التغيير والتغيرات المباشرة والعكسية.
علاقات:
تتضمن العلاقات دراسة الروابط بين مجموعتين من البيانات أو المتغيرات.
مجموعات:
تتضمن المجموعات دراسة مجموعات العناصر وعملياتها ، مثل الاتحاد والتقاطع والتكملة.
الجداول المثلثية:
توفر الجداول المثلثية مرجعًا للقيم المثلثية للزوايا المختلفة.
فيثاغورس نظرية:
تتعلق نظرية فيثاغورس بالعلاقة بين أضلاع مثلث قائم الزاوية.
التحولات الهندسية:
تتضمن التحولات الهندسية تحولات مختلفة مثل الانعكاسات والدوران والترجمات المطبقة على الأشكال الهندسية.
التشابه والتوسيع - تطابق المضلع البسيط:
يغطي هذا الموضوع مفاهيم التشابه والتكبير والتطابق للأشكال الهندسية.
اللوغاريتمات:
تتضمن اللوغاريتمات دراسة العلاقة العكسية بين الأس واللوغاريتمات.
معادلة من الدرجة الثانية:
المعادلة التربيعية هي معادلة متعددة الحدود من الدرجة الثانية وحلولها.
الجبر - الأس والجذور:
تتضمن الأسس والجذور دراسة قوى الأعداد وجذورها.
الوحدات:
تتضمن الوحدات دراسة وحدات القياس المختلفة وتحويلاتها.
النسبة والربح والخسارة:
يغطي هذا الموضوع مفاهيم النسب وتطبيقاتها في حسابات الربح والخسارة.
الموضوعات الأخرى هي:
المحيط والمنطقة
التقريبات
الجبر
تنسيق الهندسة (1) و (2)
أعداد الكسور
What's new in the latest 6.0.F
معلومات Mathematics O Level Notes APK
الإصدارات القديمة لـ Mathematics O Level Notes
Mathematics O Level Notes 6.0.F
Mathematics O Level Notes 4.0.A
Mathematics O Level Notes 1.0.A
قم بتنزيل سريع وآمن بالغاية عبر تطبيق APKPure
قم بتثبيت ملفات XAPK/APK بنقرة واحدة على أندرويد!







