關於Mathematics O Level Notes
適合普通水平學者的 O 水平數學筆記應用程序。
包括的主題:
平面內的變換:
平面變換涉及各種幾何變換的研究,例如平移、反射、旋轉和膨脹。
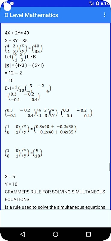
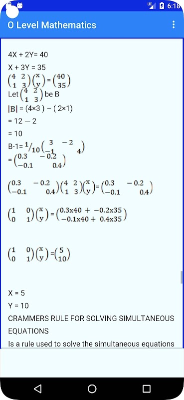
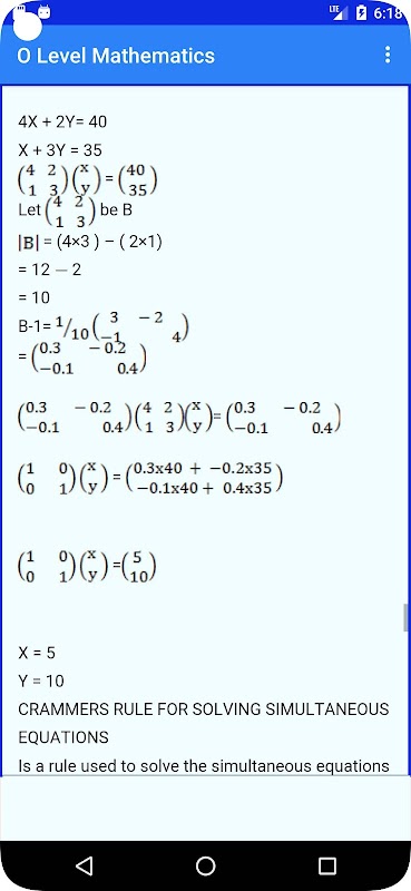
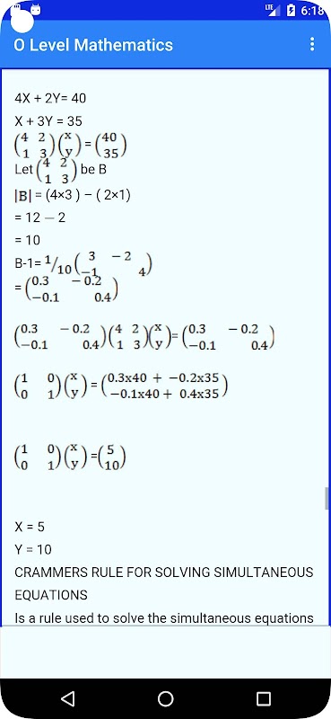
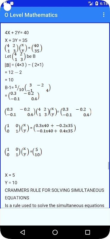
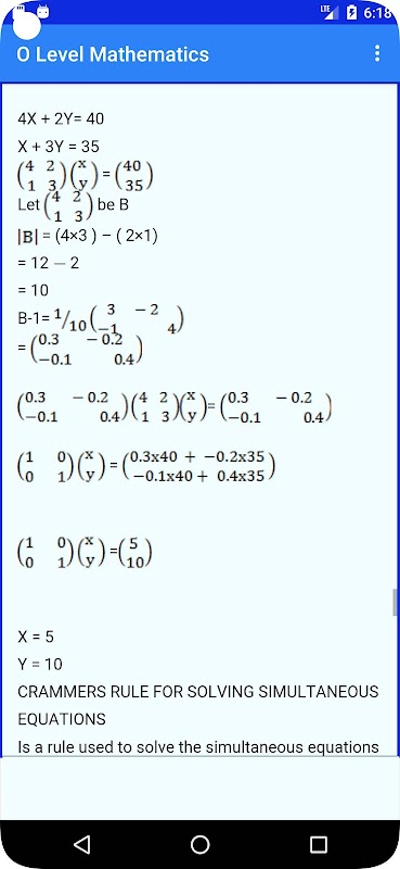
矩陣:
矩陣是數字的矩形數組,用於表示和求解線性方程組並執行各種數學運算。
線性規劃:
線性規劃處理優化問題,其中使用線性不等式來查找給定目標函數(受約束)的最大值或最小值。
可能性:
概率是對事件發生可能性的研究,涉及計算隨機實驗中不同結果的機會。
載體:
向量是具有大小和方向的數學量。它們用於各種應用,例如物理和工程。
三角學:
三角學是對三角形及其角和邊的研究。它包括三角比率、函數及其應用。
三維圖形 - 面積和體積:
本主題涵蓋三維形狀(如立方體、棱柱、金字塔、圓柱體和球體)的表面積和體積。
坐標幾何:
坐標幾何涉及使用坐標來研究平面上的點、直線和曲線之間的幾何形狀和關係。
將地球視為一個球體:
本主題重點介紹地球的球形性質,包括緯度、經度和大圓等概念。
圓圈:
圓涉及圓的性質和方程及其在幾何和坐標幾何中的應用的研究。
序列和系列:
本主題涵蓋算術和幾何序列和級數、它們的公式以及求和計算。
功能:
函數涉及將一個集合中的每個元素分配給另一個集合中的唯一元素的數學關係的研究。
統計數據:
統計學是一門研究數據收集、組織、呈現、分析和解釋以做出明智決策的學科。
多項式函數的運算:
本主題涵蓋涉及多項式函數的各種運算,例如加法、減法、乘法和除法。
費率和變化:
速率和變化探討了變化率以及正向和反向變化的概念。
關係:
關係涉及研究兩組數據或變量之間的聯繫。
套:
集合涉及對元素集合及其運算的研究,例如並集、交集和補集。
三角函數表:
三角函數表提供了各種角度的三角函數值的參考。
畢達哥拉斯定理:
畢達哥拉斯定理涉及直角三角形各邊之間的關係。
幾何變換:
幾何變換涉及各種變換,例如應用於幾何形狀的反射、旋轉和平移。
相似和放大 - 簡單多邊形的全等:
本主題涵蓋幾何形狀的相似性、放大和全等概念。
對數:
對數涉及指數和對數之間的反比關係的研究。
二次方程:
二次方程是一個二次多項式方程及其解。
代數 - 指數和根式:
指數和根式涉及對數的冪和根的研究。
單位:
單位涉及不同測量單位及其轉換的研究。
比率、利潤和損失:
本主題涵蓋比率的概念及其在損益計算中的應用。
其他主題是:
周長和麵積
近似值
代數
坐標幾何 (1) 和 (2)
分數 數字







