Mathematics O Level Notes
6.1 MB
Dosya Boyutu
Everyone
Android 5.0+
Android OS
Mathematics O Level Notes hakkında
Sıradan düzeyde bilginler için O düzeyinde matematik notları uygulaması.
Dahil edilen konular:
Düzlemde Dönüşüm:
Düzlemdeki Dönüşüm ötelemeler, yansımalar, döndürmeler ve genişlemeler gibi çeşitli geometrik dönüşümlerin incelenmesini içerir.
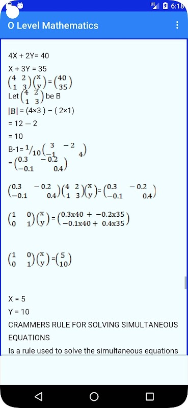
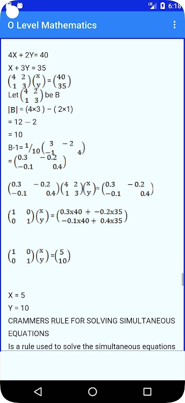
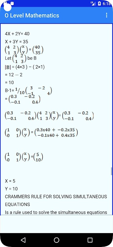
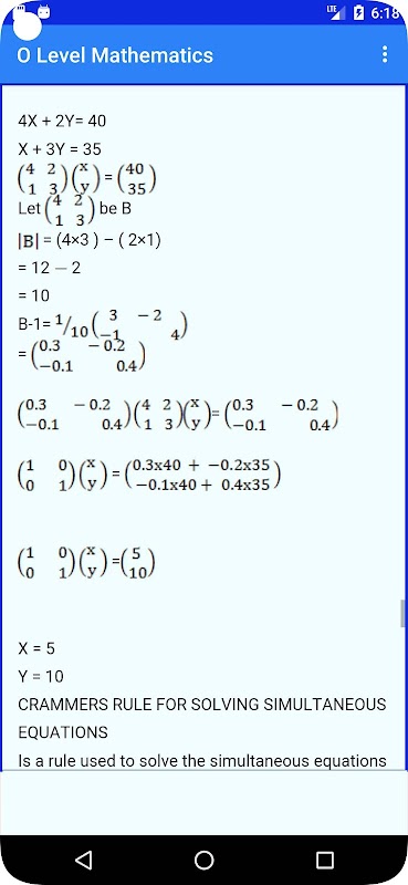
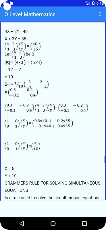
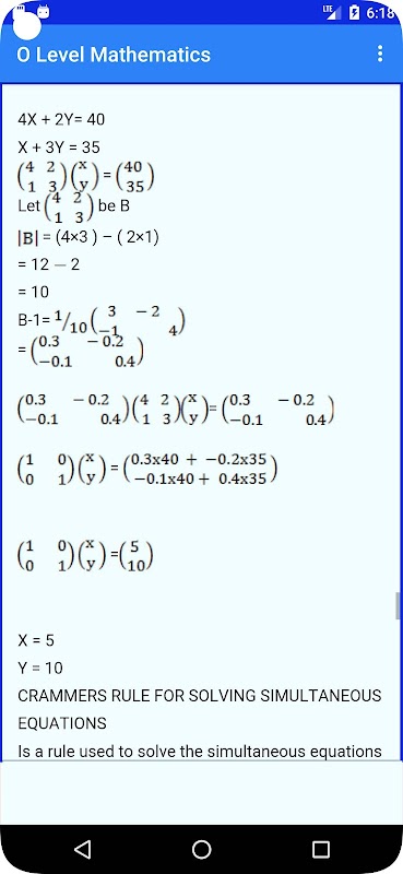
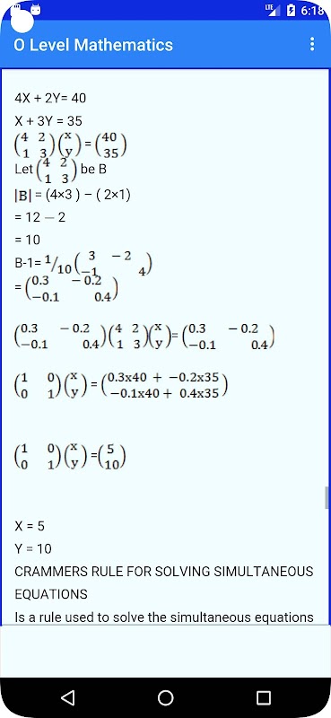
matrisler:
Matrisler, doğrusal denklem sistemlerini temsil etmek ve çözmek ve çeşitli matematiksel işlemleri gerçekleştirmek için kullanılan dikdörtgen sayı dizileridir.
Doğrusal programlama:
Doğrusal Programlama, kısıtlamalara tabi olarak belirli bir amaç fonksiyonunun maksimum veya minimum değerini bulmak için doğrusal eşitsizliklerin kullanıldığı optimizasyon problemleriyle ilgilenir.
olasılık:
Olasılık, meydana gelen olayların olasılığının incelenmesidir ve rastgele deneylerde farklı sonuçların olasılığının hesaplanmasını içerir.
Vektörler:
Vektörler, hem büyüklüğü hem de yönü olan matematiksel niceliklerdir. Fizik ve mühendislik gibi çeşitli uygulamalarda kullanılırlar.
Trigonometri:
Trigonometri, üçgenlerin ve açılarının ve kenarlarının incelenmesidir. Trigonometrik oranları, fonksiyonları ve uygulamalarını içerir.
Üç Boyutlu Şekiller - Alanlar ve Hacimler:
Bu konu küp, prizma, piramit, silindir ve küre gibi üç boyutlu şekillerin yüzey alanlarını ve hacimlerini kapsar.
Koordinat Geometrisi:
Koordinat Geometrisi, geometrik şekilleri ve bir düzlemdeki noktalar, çizgiler ve eğriler arasındaki ilişkileri incelemek için koordinatların kullanılmasını içerir.
Dünyayı Küre Olarak Hesaplar:
Bu konu, Dünyanın küresel doğasına odaklanır ve enlem, boylam ve büyük daireler gibi kavramları içerir.
Daire:
Daire, dairelerin özelliklerinin ve denklemlerinin incelenmesini ve bunların geometri ve koordinat geometrisindeki uygulamalarını içerir.
Sıra ve Seri:
Bu konu, aritmetik ve geometrik dizileri ve serileri, bunların formüllerini ve toplam hesaplamalarını kapsar.
İşlev:
Fonksiyonlar, bir kümedeki her öğeyi başka bir kümedeki benzersiz bir öğeye atayan matematiksel ilişkilerin incelenmesini içerir.
İstatistik:
İstatistik, bilinçli kararlar vermek için veri toplama, düzenleme, sunma, analiz etme ve yorumlama çalışmasıdır.
Polinom Fonksiyonunun Çalışması:
Bu konu, toplama, çıkarma, çarpma ve bölme gibi polinom fonksiyonlarını içeren çeşitli işlemleri kapsar.
Oranlar ve Varyasyonlar:
Oranlar ve Varyasyonlar, değişim oranları ve doğrudan ve ters varyasyonlar kavramını araştırır.
ilişkiler:
İlişkiler, iki veri veya değişken kümesi arasındaki bağlantıların incelenmesini içerir.
Kümeler:
Kümeler, öğe koleksiyonlarının ve bunların birleştirme, kesişme ve tümleyen gibi işlemlerinin incelenmesini içerir.
Trigonometrik Tablolar:
Trigonometrik Tablolar, çeşitli açılar için trigonometrik değerler referansı sağlar.
Pisagor Teoremi:
Pisagor Teoremi, dik açılı bir üçgenin kenarları arasındaki ilişki ile ilgilidir.
Geometrik Dönüşümler:
Geometrik Dönüşümler, geometrik şekillere uygulanan yansımalar, döndürmeler ve ötelemeler gibi çeşitli dönüşümleri içerir.
Benzerlik ve Genişletme - Basit Çokgenin Eşliği:
Bu konu, geometrik şekiller için benzerlik, genişleme ve uyum kavramlarını kapsar.
logaritmalar:
Logaritmalar, üsler ve logaritmalar arasındaki ters ilişkinin incelenmesini içerir.
İkinci dereceden denklem:
İkinci Dereceden Denklem, ikinci dereceden bir polinom denklemi ve çözümleridir.
Cebir - Üsler ve Radikaller:
Üsler ve Radikaller, sayıların kuvvetlerinin ve köklerinin incelenmesini içerir.
Birimler:
Birimler, farklı ölçü birimlerinin ve bunların dönüşümlerinin incelenmesini içerir.
Oran, Kar ve Zarar:
Bu konu, oran kavramlarını ve bunların kar ve zarar hesaplamalarındaki uygulamalarını kapsar.
Diğer Konular:
Çevreler ve Alan
yaklaşık değerler
Cebir
Koordinat Geometrisi (1) ve (2)
Kesirler Sayılar
What's new in the latest 6.0.F
Mathematics O Level Notes APK Bilgileri
Mathematics O Level Notes'in eski sürümleri
Mathematics O Level Notes 6.0.F
Mathematics O Level Notes 4.0.A
Mathematics O Level Notes 1.0.A
APK Uygulaması ile Süper Hızlı ve Güvenli İndirme
XAPK/APK dosyalarını Android'e yüklemek için tek tıkla!







