Mathematics O Level Notes
6.1 MB
Ukuran file
Everyone
Android 5.0+
Android OS
Tentang Mathematics O Level Notes
Aplikasi catatan matematika tingkat O untuk sarjana tingkat biasa.
Topik Termasuk:
Transformasi di Pesawat:
Transformasi di Pesawat melibatkan studi tentang berbagai transformasi geometris seperti translasi, refleksi, rotasi, dan dilatasi.
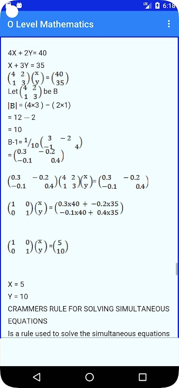
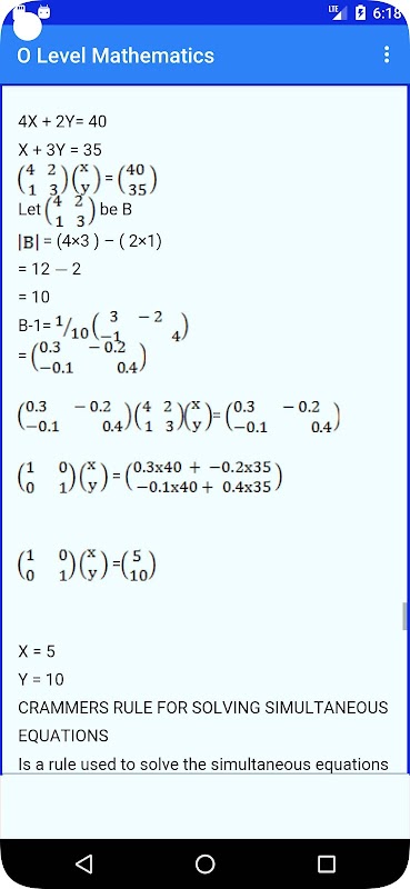
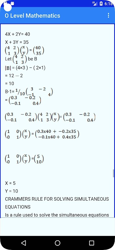
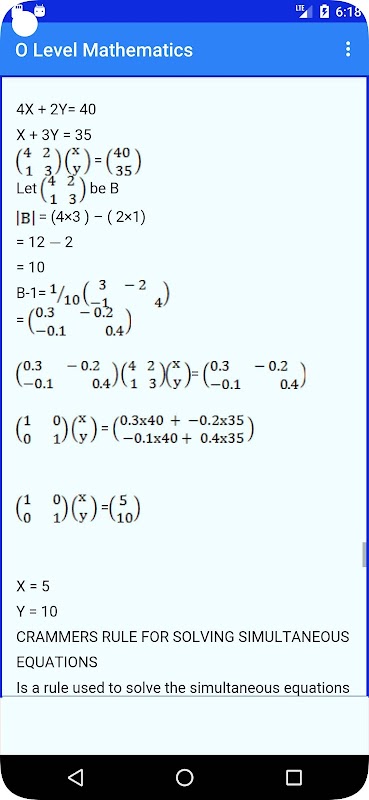
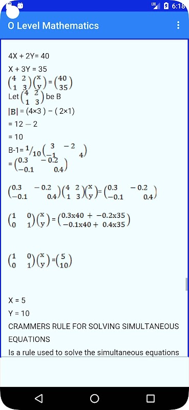
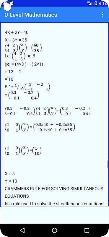
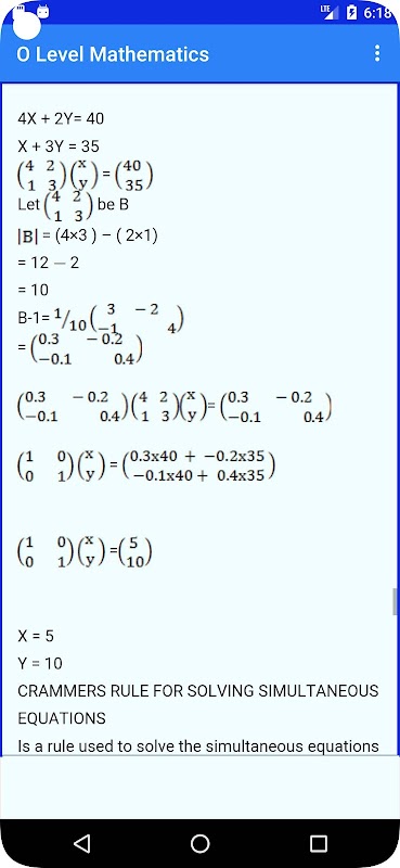
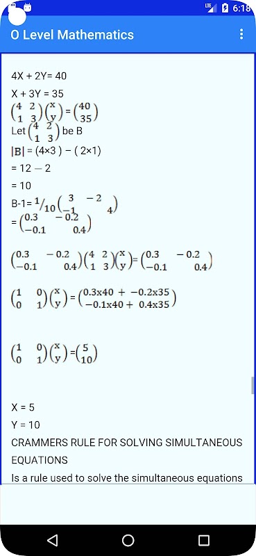
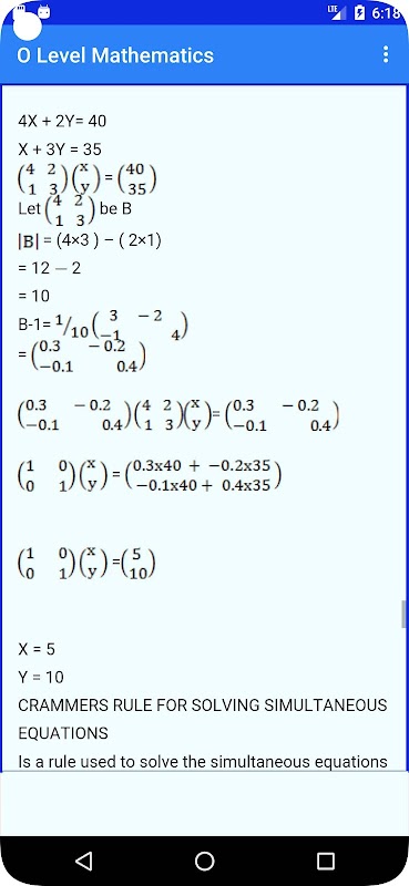
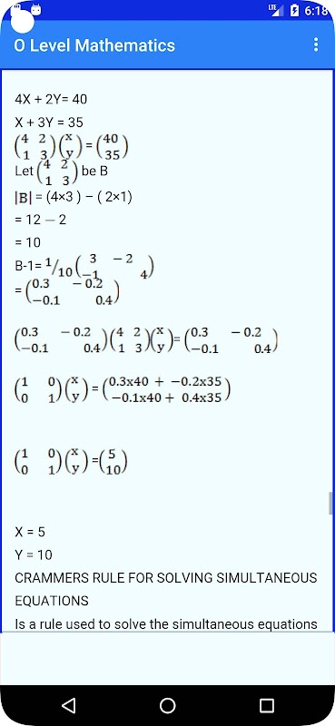
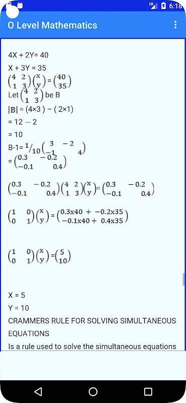
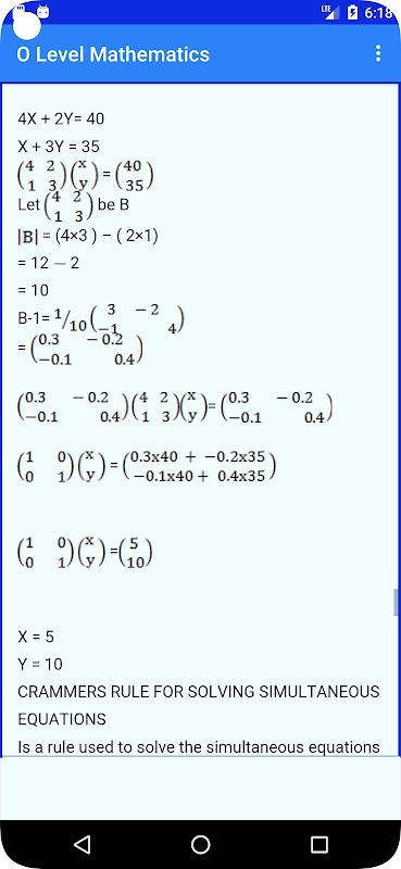
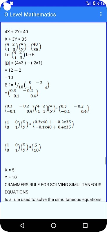
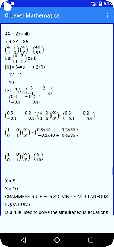
Matriks:
Matriks adalah susunan bilangan persegi panjang yang digunakan untuk mewakili dan menyelesaikan sistem persamaan linier dan melakukan berbagai operasi matematika.
Pemrograman Linier:
Pemrograman Linier berurusan dengan masalah optimisasi di mana pertidaksamaan linier digunakan untuk menemukan nilai maksimum atau minimum dari fungsi tujuan yang diberikan, tunduk pada kendala.
Kemungkinan:
Probabilitas adalah studi tentang kemungkinan peristiwa yang terjadi, dan melibatkan perhitungan kemungkinan hasil yang berbeda dalam percobaan acak.
Vektor:
Vektor adalah besaran matematis yang memiliki besaran dan arah. Mereka digunakan dalam berbagai aplikasi, seperti fisika dan teknik.
Trigonometri:
Trigonometri adalah ilmu yang mempelajari tentang segitiga beserta sudut dan sisinya. Ini mencakup rasio trigonometri, fungsi, dan aplikasinya.
Angka Tiga Dimensi - Area dan Volume:
Topik ini mencakup luas permukaan dan volume bentuk tiga dimensi seperti kubus, prisma, limas, silinder, dan bola.
Koordinat geometri:
Koordinat Geometri melibatkan penggunaan koordinat untuk mempelajari bentuk geometris dan hubungan antara titik, garis, dan kurva dalam bidang.
Menghitung Bumi sebagai Bola:
Topik ini berfokus pada sifat bulat Bumi dan mencakup konsep seperti lintang, bujur, dan lingkaran besar.
Lingkaran:
Lingkaran melibatkan studi tentang sifat dan persamaan lingkaran dan aplikasinya dalam geometri dan geometri koordinat.
Urutan dan Deret:
Topik ini mencakup barisan dan deret aritmetika dan geometri, rumusnya, dan perhitungan penjumlahannya.
Fungsi:
Fungsi melibatkan studi tentang hubungan matematis yang menugaskan setiap elemen dalam satu himpunan ke elemen unik di himpunan lain.
Statistik:
Statistik adalah studi tentang pengumpulan data, organisasi, presentasi, analisis, dan interpretasi untuk membuat keputusan.
Operasi Fungsi Polinomial:
Topik ini mencakup berbagai operasi yang melibatkan fungsi polinomial, seperti penjumlahan, pengurangan, perkalian, dan pembagian.
Tarif dan Variasi:
Tingkat dan Variasi mengeksplorasi konsep tingkat perubahan dan variasi langsung dan terbalik.
Hubungan:
Hubungan melibatkan studi tentang hubungan antara dua set data atau variabel.
Set:
Himpunan melibatkan studi tentang kumpulan elemen, dan operasinya, seperti penyatuan, persimpangan, dan pelengkap.
Tabel trigonometri:
Tabel trigonometri memberikan referensi nilai trigonometri untuk berbagai sudut.
Teorema Pythagoras:
Teorema Pythagoras berkaitan dengan hubungan antara sisi-sisi segitiga siku-siku.
Transformasi Geometris:
Transformasi Geometris melibatkan berbagai transformasi seperti refleksi, rotasi, dan terjemahan yang diterapkan pada bentuk geometris.
Kemiripan dan Pembesaran - Kongruensi Poligon Sederhana:
Topik ini mencakup konsep kesebangunan, perbesaran, dan kongruensi bangun geometri.
Logaritma:
Logaritma melibatkan studi tentang hubungan terbalik antara eksponen dan logaritma.
Persamaan kuadrat:
Persamaan Kuadrat adalah persamaan polinomial derajat dua dan solusinya.
Aljabar - Eksponen dan Radikal:
Eksponen dan Radikal melibatkan studi tentang kekuatan dan akar angka.
Unit:
Unit melibatkan studi tentang berbagai unit pengukuran dan konversinya.
Rasio, Untung, dan Rugi:
Topik ini mencakup konsep rasio dan penerapannya dalam perhitungan laba rugi.
Topik Lainnya Adalah:
Perimeter dan Area
Perkiraan
Aljabar
Koordinat Geometri (1) dan (2)
Bilangan Pecahan
What's new in the latest 6.0.F
Informasi APK Mathematics O Level Notes
Versi lama Mathematics O Level Notes
Mathematics O Level Notes 6.0.F
Mathematics O Level Notes 4.0.A
Mathematics O Level Notes 1.0.A
Pengunduhan Super cepat dan aman melalui aplikasi APKPure
Sekali klik untuk menginstal file XAPK/APK di Android!







