Mathematics O Level Notes
6.1 MB
Tamaño de archivo
Everyone
Android 5.0+
Android OS
Acerca del Mathematics O Level Notes
Aplicación de notas de matemáticas de nivel O para estudiantes de nivel ordinario.
Temas incluidos:
Transformación en el Plano:
Transformación en el Plano involucra el estudio de varias transformaciones geométricas tales como traslaciones, reflexiones, rotaciones y dilataciones.
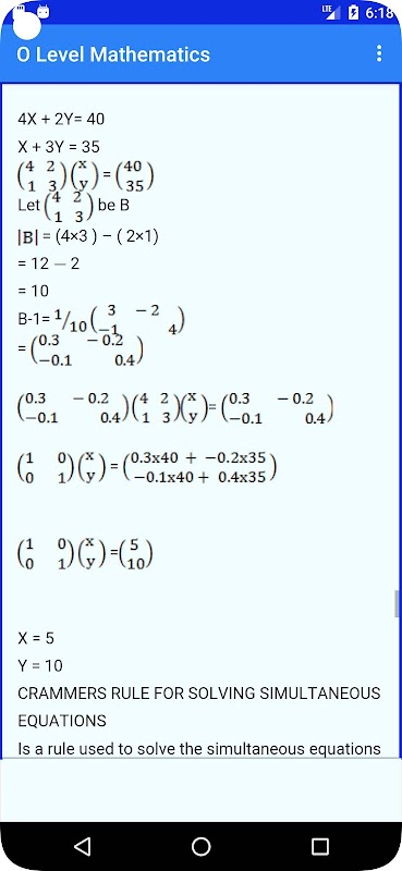
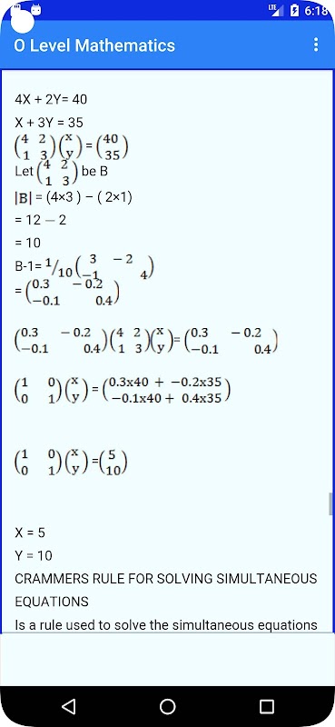
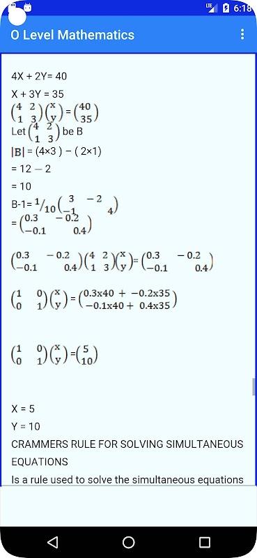
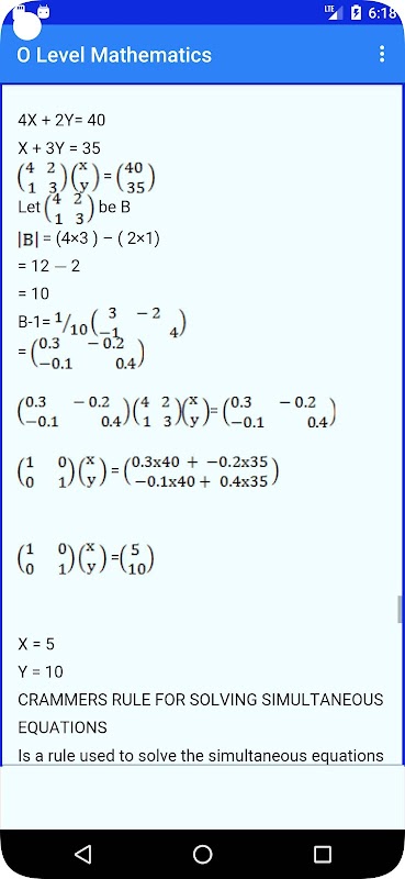
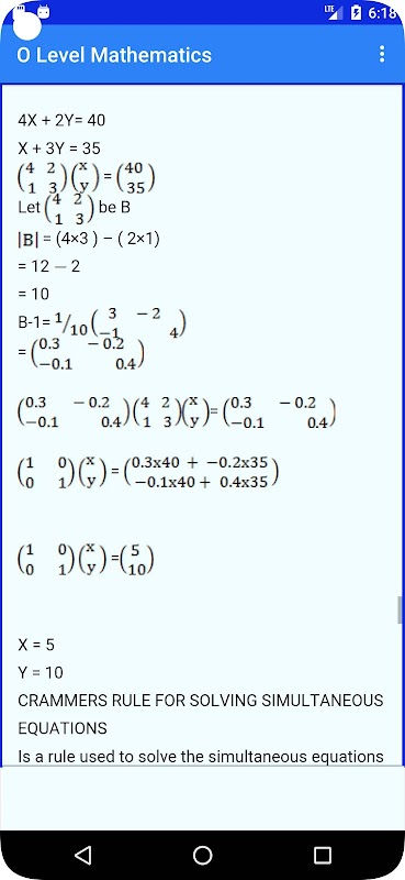
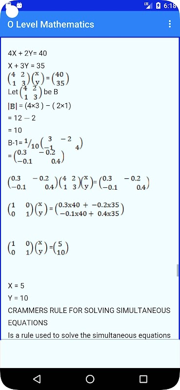
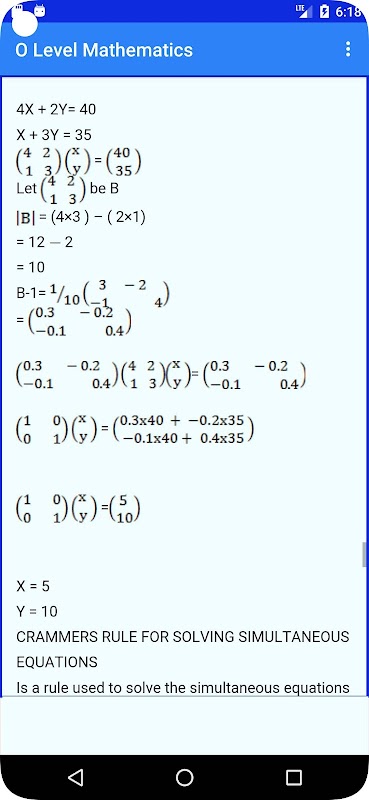
Matrices:
Las matrices son conjuntos rectangulares de números que se utilizan para representar y resolver sistemas de ecuaciones lineales y realizar diversas operaciones matemáticas.
Programación lineal:
La Programación Lineal se ocupa de problemas de optimización en los que se utilizan desigualdades lineales para encontrar el valor máximo o mínimo de una función objetivo dada, sujeta a restricciones.
Probabilidad:
La probabilidad es el estudio de la probabilidad de que ocurran eventos, e implica calcular las posibilidades de diferentes resultados en experimentos aleatorios.
Vectores:
Los vectores son cantidades matemáticas con magnitud y dirección. Se utilizan en diversas aplicaciones, como la física y la ingeniería.
Trigonometría:
La trigonometría es el estudio de los triángulos y sus ángulos y lados. Incluye razones trigonométricas, funciones y sus aplicaciones.
Figuras Tridimensionales - Áreas y Volúmenes:
Este tema cubre las áreas superficiales y los volúmenes de formas tridimensionales como cubos, prismas, pirámides, cilindros y esferas.
Geometría coordinada:
La geometría de coordenadas implica el uso de coordenadas para estudiar formas geométricas y relaciones entre puntos, líneas y curvas en un plano.
Cuenta la Tierra como una Esfera:
Este tema se centra en la naturaleza esférica de la Tierra e incluye conceptos como latitud, longitud y grandes círculos.
Círculo:
El círculo implica el estudio de las propiedades y ecuaciones de los círculos y sus aplicaciones en geometría y geometría de coordenadas.
Secuencia y Serie:
Este tema cubre secuencias y series aritméticas y geométricas, sus fórmulas y cálculos de suma.
Función:
Las funciones involucran el estudio de relaciones matemáticas que asignan cada elemento en un conjunto a un elemento único en otro conjunto.
Estadísticas:
La estadística es el estudio de la recopilación, organización, presentación, análisis e interpretación de datos para tomar decisiones informadas.
Operación de la función polinomial:
Este tema cubre varias operaciones que involucran funciones polinómicas, como suma, resta, multiplicación y división.
Tarifas y Variaciones:
Tasas y Variaciones explora el concepto de tasas de cambio y variaciones directas e inversas.
Relaciones:
Las relaciones implican el estudio de las conexiones entre dos conjuntos de datos o variables.
Conjuntos:
Los conjuntos implican el estudio de colecciones de elementos y sus operaciones, como unión, intersección y complemento.
Tablas trigonométricas:
Las tablas trigonométricas proporcionan una referencia de valores trigonométricos para varios ángulos.
Teorema de Pitágoras:
El teorema de Pitágoras se relaciona con la relación entre los lados de un triángulo rectángulo.
Transformaciones Geométricas:
Las transformaciones geométricas involucran varias transformaciones como reflejos, rotaciones y traslaciones aplicadas a formas geométricas.
Semejanza y Ampliación - Congruencia de Polígono Simple:
Este tema cubre los conceptos de similitud, ampliación y congruencia para formas geométricas.
Logaritmos:
Los logaritmos involucran el estudio de la relación inversa entre exponentes y logaritmos.
Ecuación cuadrática:
La ecuación cuadrática es una ecuación polinomial de segundo grado y sus soluciones.
Álgebra - Exponentes y Radicales:
Exponentes y Radicales involucran el estudio de potencias y raíces de números.
Unidades:
Las unidades involucran el estudio de diferentes unidades de medida y sus conversiones.
Relación, ganancias y pérdidas:
Este tema cubre los conceptos de índices y sus aplicaciones en los cálculos de pérdidas y ganancias.
Otros temas son:
Perímetros y Área
Aproximaciones
Álgebra
Geometría de coordenadas (1) y (2)
Números de fracciones
Novedades más recientes 6.0.F
Información de Mathematics O Level Notes APK
Versiones Antiguas de Mathematics O Level Notes
Mathematics O Level Notes 6.0.F
Mathematics O Level Notes 4.0.A
Mathematics O Level Notes 1.0.A
Descarga rápida y segura a través de APKPure App
¡Un clic para instalar archivos XAPK/APK en Android!







