เกี่ยวกับ Mathematics O Level Notes
แอพบันทึกคณิตศาสตร์ระดับ O สำหรับนักวิชาการระดับสามัญ
หัวข้อรวม:
การเปลี่ยนแปลงในระนาบ:
การแปลงในระนาบเกี่ยวข้องกับการศึกษาการแปลงทางเรขาคณิตต่างๆ เช่น การแปล การสะท้อน การหมุน และการขยาย
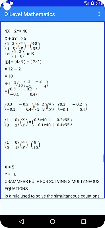
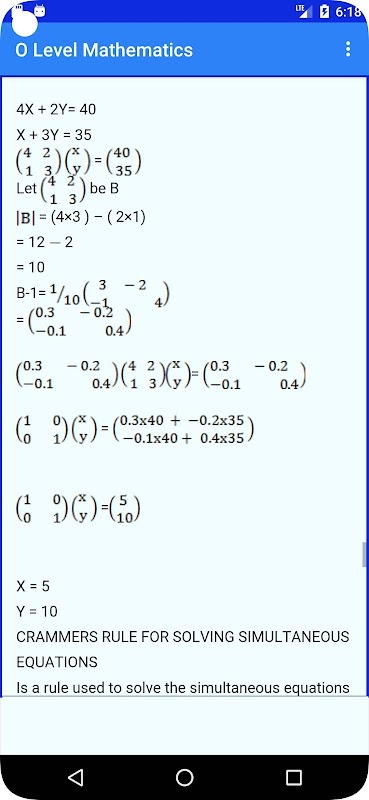
เมทริกซ์:
เมทริกซ์เป็นอาร์เรย์สี่เหลี่ยมของตัวเลขที่ใช้แทนและแก้ระบบสมการเชิงเส้นและดำเนินการทางคณิตศาสตร์ต่างๆ
การเขียนโปรแกรมเชิงเส้น:
การเขียนโปรแกรมเชิงเส้นเกี่ยวข้องกับปัญหาการปรับให้เหมาะสมซึ่งใช้อสมการเชิงเส้นเพื่อหาค่าสูงสุดหรือต่ำสุดของฟังก์ชันวัตถุประสงค์ที่กำหนด ซึ่งขึ้นอยู่กับข้อจำกัด
ความน่าจะเป็น:
ความน่าจะเป็นคือการศึกษาความเป็นไปได้ของเหตุการณ์ที่เกิดขึ้น และเกี่ยวข้องกับการคำนวณโอกาสของผลลัพธ์ที่แตกต่างกันในการทดลองสุ่ม
เวกเตอร์:
เวกเตอร์เป็นปริมาณทางคณิตศาสตร์ที่มีทั้งขนาดและทิศทาง ใช้ในงานต่างๆ เช่น ฟิสิกส์และวิศวกรรม
ตรีโกณมิติ:
ตรีโกณมิติคือการศึกษารูปสามเหลี่ยม มุม และด้านของรูปสามเหลี่ยม ประกอบด้วยอัตราส่วนตรีโกณมิติ ฟังก์ชัน และการนำไปใช้
ตัวเลขสามมิติ - พื้นที่และปริมาตร:
หัวข้อนี้ครอบคลุมพื้นที่ผิวและปริมาตรของรูปทรงสามมิติ เช่น ลูกบาศก์ ปริซึม พีระมิด ทรงกระบอก และทรงกลม
พิกัดเรขาคณิต:
เรขาคณิตเชิงพิกัดเกี่ยวข้องกับการใช้พิกัดเพื่อศึกษารูปทรงเรขาคณิตและความสัมพันธ์ระหว่างจุด เส้น และเส้นโค้งในระนาบ
บัญชีโลกเป็นทรงกลม:
หัวข้อนี้มุ่งเน้นไปที่ธรรมชาติทรงกลมของโลกและรวมถึงแนวคิดต่างๆ เช่น ละติจูด ลองจิจูด และวงกลมใหญ่
วงกลม:
วงกลมเกี่ยวข้องกับการศึกษาคุณสมบัติและสมการของวงกลมและการประยุกต์ใช้ในเรขาคณิตและเรขาคณิตเชิงพิกัด
ลำดับและซีรีส์:
หัวข้อนี้ครอบคลุมลำดับและอนุกรมเลขคณิตและเรขาคณิต สูตร และการคำนวณผลรวม
การทำงาน:
ฟังก์ชันเกี่ยวข้องกับการศึกษาความสัมพันธ์ทางคณิตศาสตร์ที่กำหนดแต่ละองค์ประกอบในชุดหนึ่งให้เป็นองค์ประกอบเฉพาะในอีกชุดหนึ่ง
สถิติ:
สถิติคือการศึกษาเกี่ยวกับการรวบรวมข้อมูล การจัดองค์กร การนำเสนอ การวิเคราะห์ และการตีความข้อมูลเพื่อประกอบการตัดสินใจ
การทำงานของฟังก์ชันพหุนาม:
หัวข้อนี้ครอบคลุมการดำเนินการต่างๆ ที่เกี่ยวข้องกับฟังก์ชันพหุนาม เช่น การบวก การลบ การคูณ และการหาร
อัตราและรูปแบบ:
อัตราและการเปลี่ยนแปลง สำรวจแนวคิดของอัตราการเปลี่ยนแปลงและการแปรผันโดยตรงและผกผัน
ความสัมพันธ์:
ความสัมพันธ์เกี่ยวข้องกับการศึกษาความเชื่อมโยงระหว่างข้อมูลหรือตัวแปรสองชุด
ชุด:
ชุดเกี่ยวข้องกับการศึกษาคอลเลกชันขององค์ประกอบและการดำเนินการเช่นสหภาพ การตัดกัน และส่วนเติมเต็ม
ตารางตรีโกณมิติ:
ตารางตรีโกณมิติให้การอ้างอิงค่าตรีโกณมิติสำหรับมุมต่างๆ
ทฤษฎีบทปีทาโกรัส:
ทฤษฎีบทพีทาโกรัสเกี่ยวข้องกับความสัมพันธ์ระหว่างด้านของรูปสามเหลี่ยมมุมฉาก
การแปลงทางเรขาคณิต:
การแปลงทางเรขาคณิตเกี่ยวข้องกับการแปลงต่างๆ เช่น การสะท้อน การหมุน และการแปลที่ใช้กับรูปทรงเรขาคณิต
ความเหมือนและการขยาย - ความสอดคล้องของรูปหลายเหลี่ยมอย่างง่าย:
หัวข้อนี้ครอบคลุมแนวคิดของความคล้ายคลึง การขยาย และความสอดคล้องกันของรูปทรงเรขาคณิต
ลอการิทึม:
ลอการิทึมเกี่ยวข้องกับการศึกษาความสัมพันธ์ผกผันระหว่างเลขยกกำลังและลอการิทึม
สมการกำลังสอง:
สมการกำลังสองเป็นสมการพหุนามดีกรีสองและคำตอบของมัน
พีชคณิต - เลขชี้กำลังและอนุมูล:
เลขชี้กำลังและอนุมูลเกี่ยวข้องกับการศึกษาพลังและรากของตัวเลข
หน่วย:
หน่วยเกี่ยวข้องกับการศึกษาหน่วยวัดต่างๆ และการแปลงหน่วย
อัตราส่วน กำไร ขาดทุน:
หัวข้อนี้ครอบคลุมแนวคิดของอัตราส่วนและการนำไปใช้ในการคำนวณกำไรขาดทุน
หัวข้ออื่น ๆ คือ:
ปริมณฑลและพื้นที่
การประมาณ
พีชคณิต
พิกัดเรขาคณิต (1) และ (2)
ตัวเลขเศษส่วน
What's new in the latest 6.0.F
ข้อมูล Mathematics O Level Notes APK
Mathematics O Level Notes รุ่นเก่า
Mathematics O Level Notes 6.0.F
Mathematics O Level Notes 4.0.A
Mathematics O Level Notes 1.0.A
การดาวน์โหลดที่รวดเร็วและปลอดภัยเป็นพิเศษผ่านแอป APKPure
คลิกเพียงครั้งเดียวเพื่อติดตั้งไฟล์ XAPK/APK บน Android!







