Mathematics O Level Notes
6.1 MB
Размер файла
Everyone
Android 5.0+
Android OS
Oписание Mathematics O Level Notes
Приложение O level Math Notes для ученых уровня Ordinary.
Темы включены:
Трансформация в самолете:
Преобразование на Плане включает в себя изучение различных геометрических преобразований, таких как переводы, отражения, повороты и расширения.
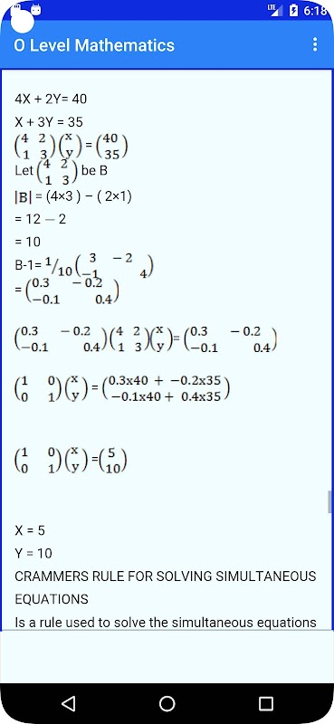
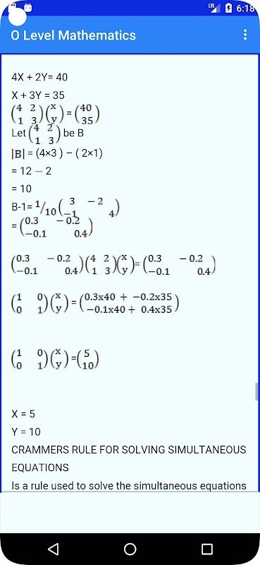
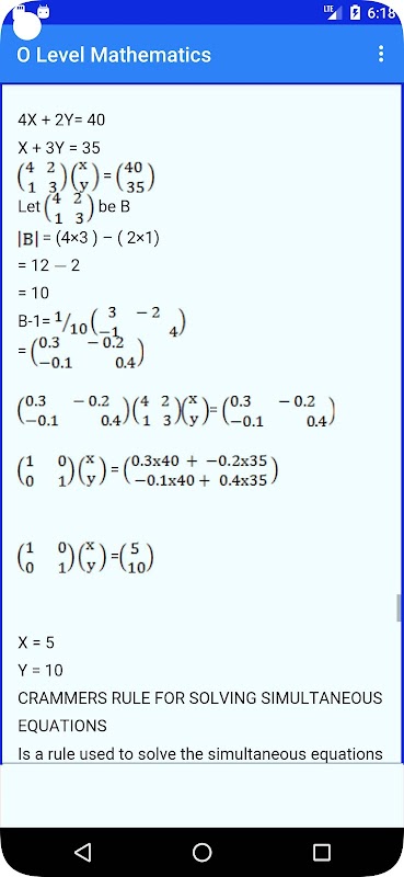
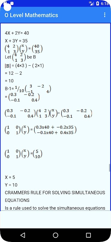
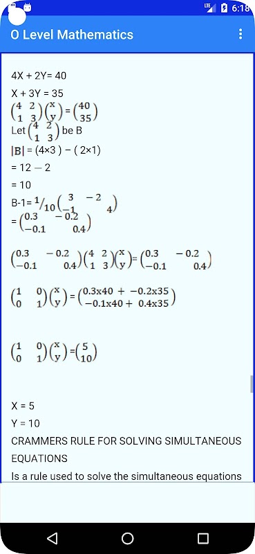
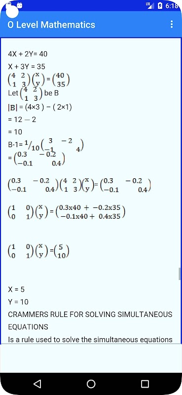
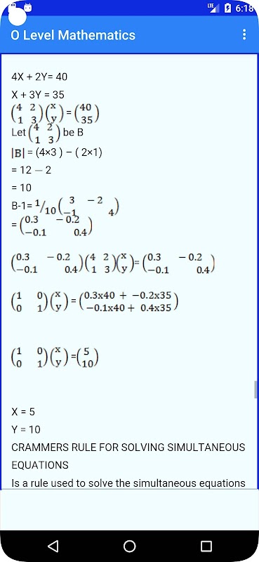
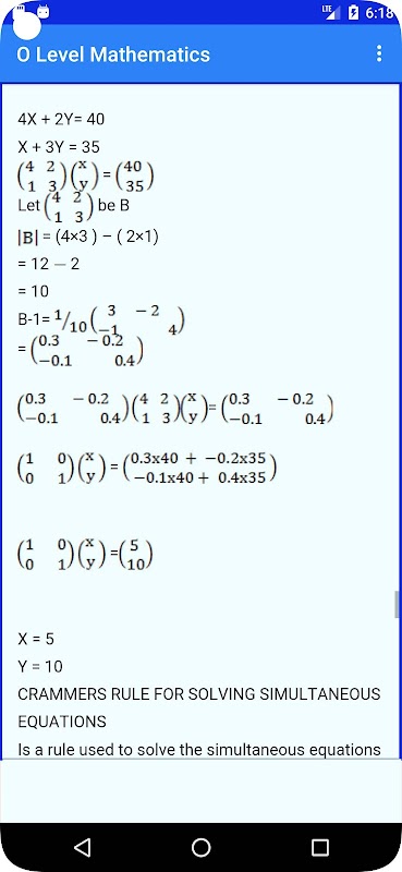
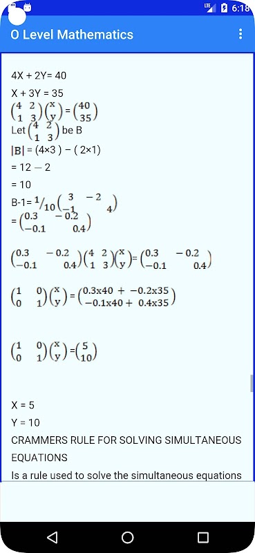
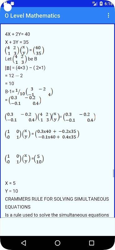
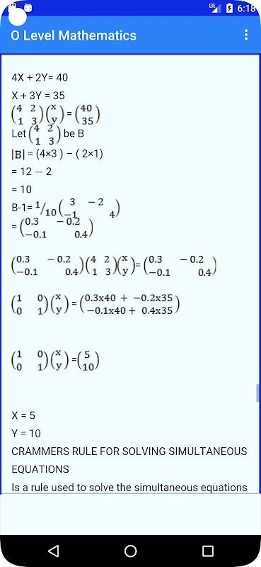
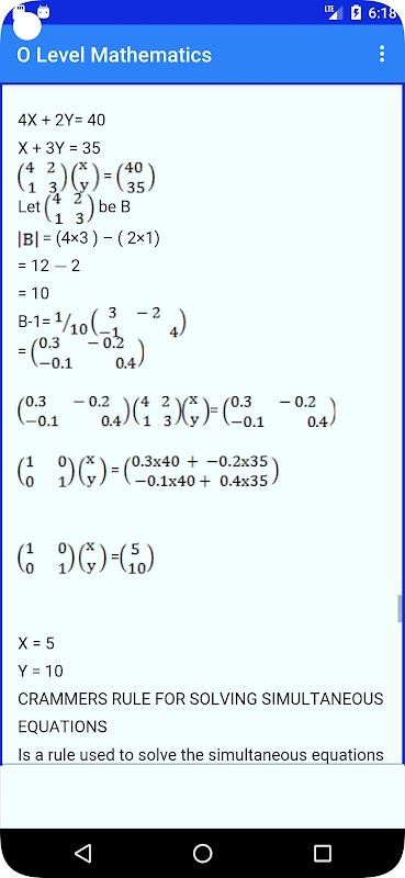
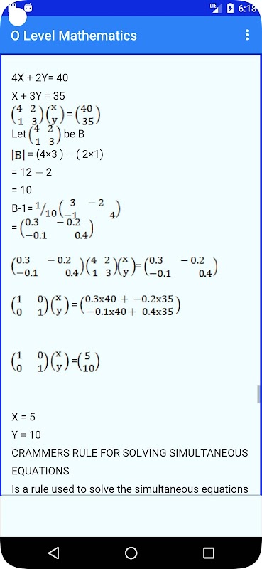
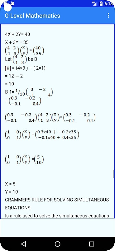
Матрицы:
Матрицы представляют собой прямоугольные массивы чисел, используемые для представления и решения систем линейных уравнений и выполнения различных математических операций.
Линейное программирование:
Линейное программирование имеет дело с задачами оптимизации, где линейные неравенства используются для нахождения максимального или минимального значения заданной целевой функции с учетом ограничений.
Вероятность:
Вероятность — это исследование вероятности возникновения событий, которое включает в себя расчет шансов различных исходов в случайных экспериментах.
Векторы:
Векторы — это математические величины, имеющие как величину, так и направление. Они используются в различных приложениях, таких как физика и инженерия.
Тригонометрия:
Тригонометрия – это наука о треугольниках, их углах и сторонах. Он включает в себя тригонометрические отношения, функции и их приложения.
Трехмерные фигуры - Площади и объемы:
В этом разделе рассматриваются площади поверхности и объемы трехмерных фигур, таких как кубы, призмы, пирамиды, цилиндры и сферы.
Координатная геометрия:
Координатная геометрия включает использование координат для изучения геометрических фигур и взаимосвязей между точками, линиями и кривыми на плоскости.
Считает Землю Сферой:
Эта тема посвящена сферической природе Земли и включает такие понятия, как широта, долгота и большие окружности.
Круг:
Круг включает в себя изучение свойств и уравнений окружностей и их приложений в геометрии и координатной геометрии.
Последовательность и серия:
В этом разделе рассматриваются арифметические и геометрические последовательности и ряды, их формулы и вычисления сумм.
Функция:
Функции включают изучение математических отношений, которые сопоставляют каждому элементу одного набора уникальный элемент другого набора.
Статистика:
Статистика — это изучение сбора, организации, представления, анализа и интерпретации данных для принятия обоснованных решений.
Операция полиномиальной функции:
В этом разделе рассматриваются различные операции с полиномиальными функциями, такие как сложение, вычитание, умножение и деление.
Цены и варианты:
Курсы и вариации исследуют концепцию темпов изменений, а также прямых и обратных вариаций.
Связи:
Отношения включают изучение связей между двумя наборами данных или переменных.
Наборы:
Наборы включают изучение наборов элементов и их операций, таких как объединение, пересечение и дополнение.
Тригонометрические таблицы:
Тригонометрические таблицы содержат ссылки на тригонометрические значения для различных углов.
Теорема Пифагора:
Теорема Пифагора относится к соотношению между сторонами прямоугольного треугольника.
Геометрические преобразования:
Геометрические преобразования включают в себя различные преобразования, такие как отражение, вращение и перемещение, применяемые к геометрическим фигурам.
Сходство и увеличение - конгруэнтность простого многоугольника:
В этом разделе рассматриваются понятия сходства, увеличения и соответствия геометрических фигур.
Логарифмы:
Логарифмы предполагают изучение обратной зависимости между показателями степени и логарифмами.
Квадратное уравнение:
Квадратное уравнение — это полиномиальное уравнение второй степени и его решения.
Алгебра — экспоненты и радикалы:
Экспоненты и радикалы включают изучение степеней и корней чисел.
Единицы измерения:
Единицы предполагают изучение различных единиц измерения и их преобразования.
Соотношение, прибыль и убыток:
В этом разделе рассматриваются концепции коэффициентов и их применение в расчетах прибылей и убытков.
Другие темы:
Периметры и площадь
приближения
Алгебра
Координатная геометрия (1) и (2)
Числа дробей
Что нового в последней версии 6.0.F
Информация Mathematics O Level Notes APK
Старые Версии Mathematics O Level Notes
Mathematics O Level Notes 6.0.F
Mathematics O Level Notes 4.0.A
Mathematics O Level Notes 1.0.A
Супер Быстрая и Безопасная Загрузка через Приложение APKPure
Один клик для установки XAPK/APK файлов на Android!







