关于Mathematics O Level Notes
适合普通水平学者的 O 水平数学笔记应用程序。
包括的主题:
平面内的变换:
平面变换涉及各种几何变换的研究,例如平移、反射、旋转和膨胀。
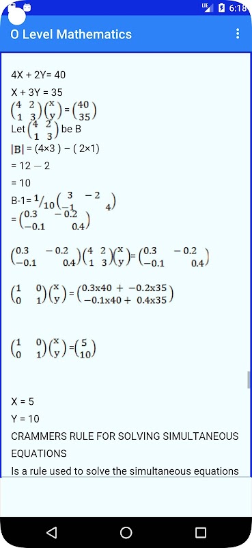
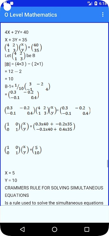
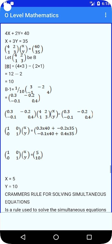
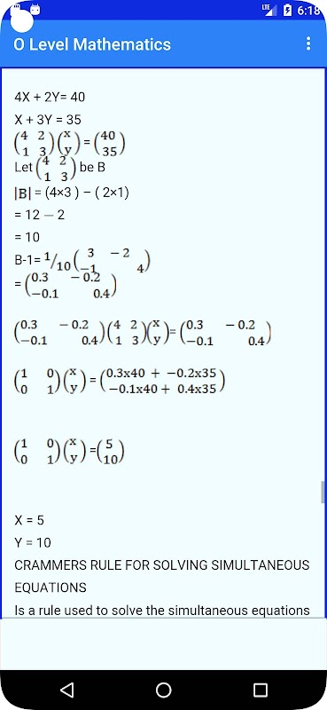
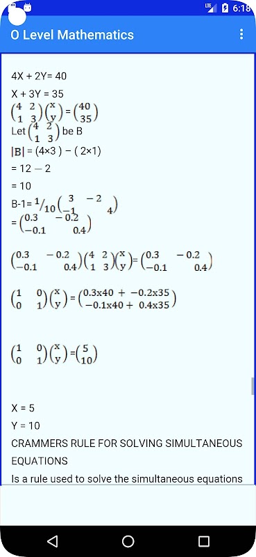
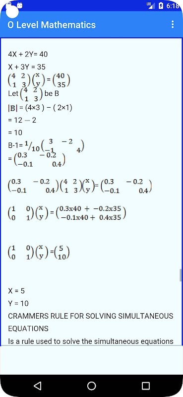
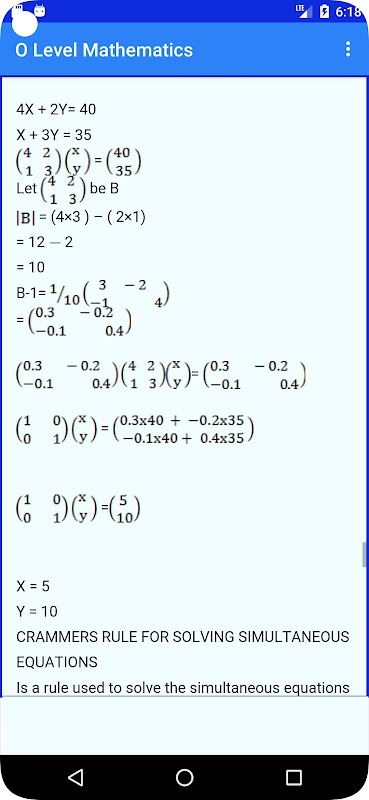
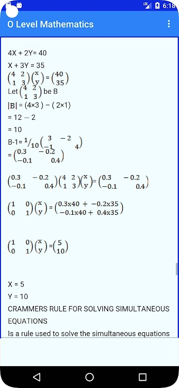
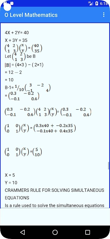
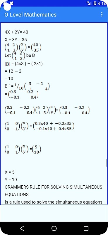
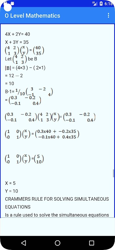
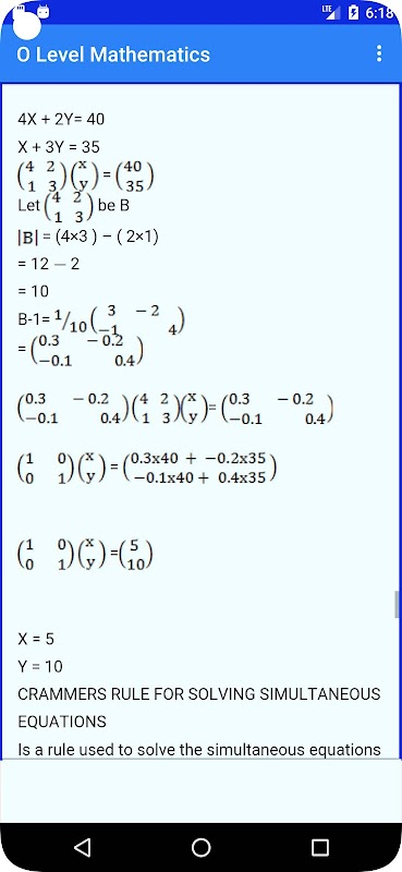
矩阵:
矩阵是数字的矩形数组,用于表示和求解线性方程组并执行各种数学运算。
线性规划:
线性规划处理优化问题,其中使用线性不等式来查找给定目标函数(受约束)的最大值或最小值。
可能性:
概率是对事件发生可能性的研究,涉及计算随机实验中不同结果的机会。
载体:
向量是具有大小和方向的数学量。它们用于各种应用,例如物理和工程。
三角学:
三角学是对三角形及其角和边的研究。它包括三角比率、函数及其应用。
三维图形 - 面积和体积:
本主题涵盖三维形状(如立方体、棱柱、金字塔、圆柱体和球体)的表面积和体积。
坐标几何:
坐标几何涉及使用坐标来研究平面上的点、直线和曲线之间的几何形状和关系。
将地球视为一个球体:
本主题重点介绍地球的球形性质,包括纬度、经度和大圆等概念。
圆圈:
圆涉及圆的性质和方程及其在几何和坐标几何中的应用的研究。
序列和系列:
本主题涵盖算术和几何序列和级数、它们的公式以及求和计算。
功能:
函数涉及将一个集合中的每个元素分配给另一个集合中的唯一元素的数学关系的研究。
统计数据:
统计学是一门研究数据收集、组织、呈现、分析和解释以做出明智决策的学科。
多项式函数的运算:
本主题涵盖涉及多项式函数的各种运算,例如加法、减法、乘法和除法。
费率和变化:
速率和变化探讨了变化率以及正向和反向变化的概念。
关系:
关系涉及研究两组数据或变量之间的联系。
套:
集合涉及对元素集合及其运算的研究,例如并集、交集和补集。
三角函数表:
三角函数表提供了各种角度的三角函数值的参考。
毕达哥拉斯定理:
毕达哥拉斯定理涉及直角三角形各边之间的关系。
几何变换:
几何变换涉及各种变换,例如应用于几何形状的反射、旋转和平移。
相似和放大 - 简单多边形的全等:
本主题涵盖几何形状的相似性、放大和全等概念。
对数:
对数涉及指数和对数之间的反比关系的研究。
二次方程:
二次方程是一个二次多项式方程及其解。
代数 - 指数和根式:
指数和根式涉及对数的幂和根的研究。
单位:
单位涉及不同测量单位及其转换的研究。
比率、利润和损失:
本主题涵盖比率的概念及其在损益计算中的应用。
其他主题是:
周长和面积
近似值
代数
坐标几何 (1) 和 (2)
分数 数字







