About Mathematics O Level Notes
O level maths notes app for Ordinary level scholars.
Topics Included:
Transformation in the Plane:
Transformation in the Plane involves the study of various geometric transformations such as translations, reflections, rotations, and dilations.
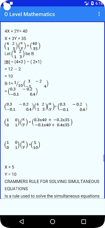
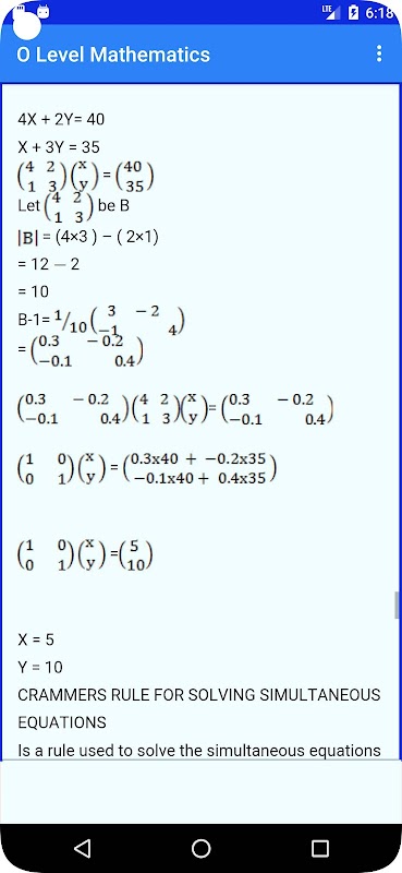
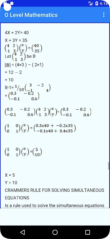
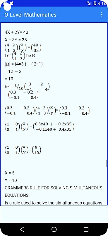
Matrices:
Matrices are rectangular arrays of numbers used to represent and solve systems of linear equations and perform various mathematical operations.
Linear Programming:
Linear Programming deals with optimization problems where linear inequalities are used to find the maximum or minimum value of a given objective function, subject to constraints.
Probability:
Probability is the study of the likelihood of events occurring, and it involves calculating the chances of different outcomes in random experiments.
Vectors:
Vectors are mathematical quantities with both magnitude and direction. They are used in various applications, such as physics and engineering.
Trigonometry:
Trigonometry is the study of triangles and their angles and sides. It includes trigonometric ratios, functions, and their applications.
Three-Dimensional Figures - Areas and Volumes:
This topic covers the surface areas and volumes of three-dimensional shapes like cubes, prisms, pyramids, cylinders, and spheres.
Coordinate Geometry:
Coordinate Geometry involves the use of coordinates to study geometric shapes and relationships between points, lines, and curves in a plane.
Accounts the Earth as a Sphere:
This topic focuses on the spherical nature of the Earth and includes concepts like latitude, longitude, and great circles.
Circle:
Circle involves the study of properties and equations of circles and their applications in geometry and coordinate geometry.
Sequence and Series:
This topic covers arithmetic and geometric sequences and series, their formulas, and sum calculations.
Function:
Functions involve the study of mathematical relations that assign each element in one set to a unique element in another set.
Statistics:
Statistics is the study of data collection, organization, presentation, analysis, and interpretation to make informed decisions.
Operation of Polynomial Function:
This topic covers various operations involving polynomial functions, such as addition, subtraction, multiplication, and division.
Rates and Variations:
Rates and Variations explore the concept of rates of change and direct and inverse variations.
Relations:
Relations involve the study of the connections between two sets of data or variables.
Sets:
Sets involve the study of collections of elements, and their operations, such as union, intersection, and complement.
Trigonometric Tables:
Trigonometric Tables provide a reference of trigonometric values for various angles.
Pythagoras Theorem:
Pythagoras Theorem relates to the relationship between the sides of a right-angled triangle.
Geometrical Transformations:
Geometrical Transformations involve various transformations like reflections, rotations, and translations applied to geometric shapes.
Similarity and Enlargement - Congruence of Simple Polygon:
This topic covers the concepts of similarity, enlargement, and congruence for geometric shapes.
Logarithms:
Logarithms involve the study of the inverse relationship between exponents and logarithms.
Quadratic Equation:
Quadratic Equation is a second-degree polynomial equation and its solutions.
Algebra - Exponents and Radicals:
Exponents and Radicals involve the study of powers and roots of numbers.
Units:
Units involve the study of different units of measurement and their conversions.
Ratio, Profit, and Loss:
This topic covers the concepts of ratios and their applications in profit and loss calculations.
Other Topics Are:
Perimeters and Area
Approximations
Algebra
Coordinate Geometry (1) and (2)
Fractions Numbers
What's new in the latest 6.0.F
Mathematics O Level Notes APK Information
Old Versions of Mathematics O Level Notes
Mathematics O Level Notes 6.0.F
Mathematics O Level Notes 4.0.A
Mathematics O Level Notes 1.0.A
Super Fast and Safe Downloading via APKPure App
One-click to install XAPK/APK files on Android!







