Mathematics O Level Notes
6.1 MB
Tamanho do arquivo
Everyone
Android 5.0+
Android OS
Sobre este Mathematics O Level Notes
Aplicativo de notas de matemática de nível O para estudiosos de nível comum.
Tópicos incluídos:
Transformação no Plano:
A transformação no plano envolve o estudo de várias transformações geométricas, como translações, reflexões, rotações e dilatações.
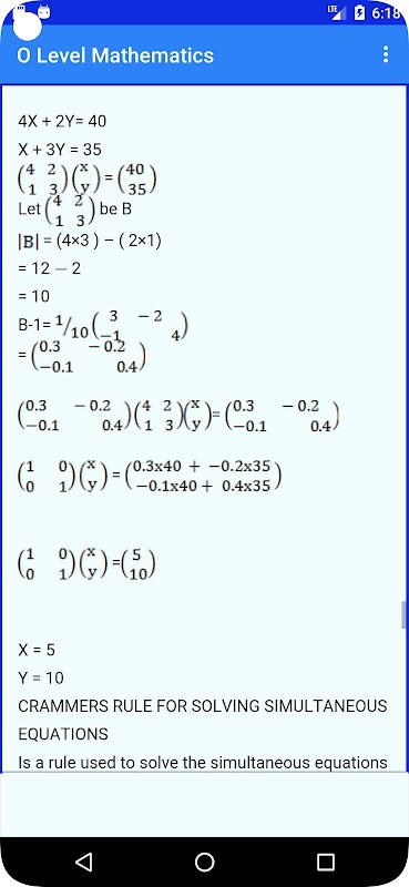
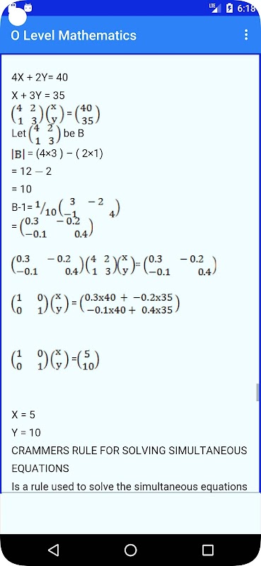
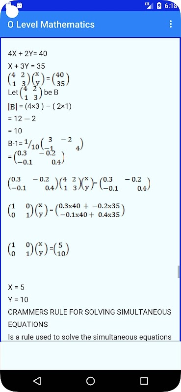
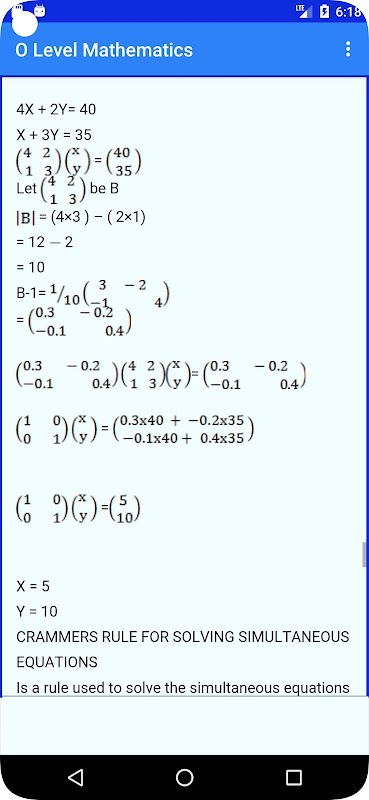
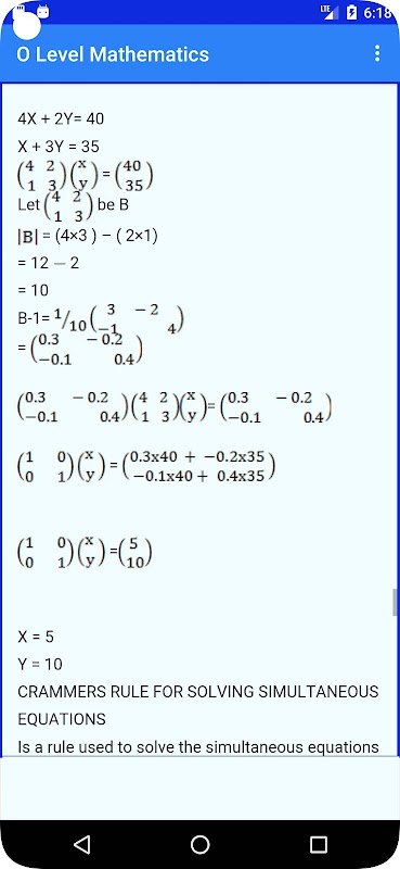
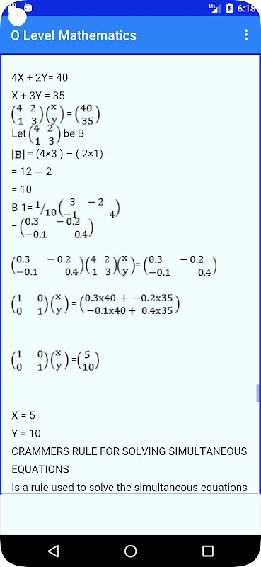
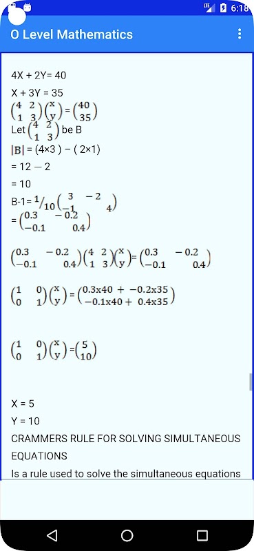
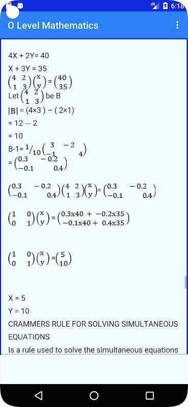
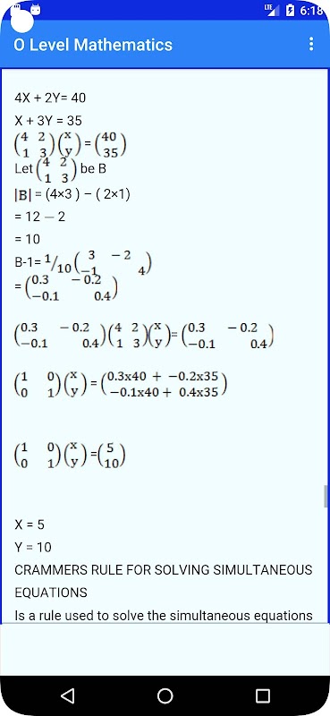
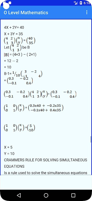
Matrizes:
Matrizes são arranjos retangulares de números usados para representar e resolver sistemas de equações lineares e executar várias operações matemáticas.
Programação linear:
A Programação Linear lida com problemas de otimização onde desigualdades lineares são usadas para encontrar o valor máximo ou mínimo de uma dada função objetivo, sujeito a restrições.
Probabilidade:
Probabilidade é o estudo da probabilidade de ocorrência de eventos e envolve o cálculo das chances de diferentes resultados em experimentos aleatórios.
Vetores:
Vetores são quantidades matemáticas com magnitude e direção. Eles são usados em várias aplicações, como física e engenharia.
Trigonometria:
Trigonometria é o estudo dos triângulos e seus ângulos e lados. Inclui razões trigonométricas, funções e suas aplicações.
Figuras Tridimensionais - Áreas e Volumes:
Este tópico cobre as áreas de superfície e volumes de formas tridimensionais como cubos, prismas, pirâmides, cilindros e esferas.
Geometria coordenada:
A geometria de coordenadas envolve o uso de coordenadas para estudar formas geométricas e relações entre pontos, linhas e curvas em um plano.
Considera a Terra como uma Esfera:
Este tópico se concentra na natureza esférica da Terra e inclui conceitos como latitude, longitude e grandes círculos.
Círculo:
Circle envolve o estudo de propriedades e equações de círculos e suas aplicações em geometria e geometria de coordenadas.
Sequência e série:
Este tópico abrange sequências e séries aritméticas e geométricas, suas fórmulas e cálculos de soma.
Função:
As funções envolvem o estudo de relações matemáticas que atribuem cada elemento em um conjunto a um único elemento em outro conjunto.
Estatisticas:
Estatística é o estudo da coleta, organização, apresentação, análise e interpretação de dados para tomar decisões informadas.
Operação da função polinomial:
Este tópico abrange várias operações envolvendo funções polinomiais, como adição, subtração, multiplicação e divisão.
Tarifas e Variações:
Taxas e variações exploram o conceito de taxas de variação e variações diretas e inversas.
Relações:
As relações envolvem o estudo das conexões entre dois conjuntos de dados ou variáveis.
Conjuntos:
Conjuntos envolvem o estudo de coleções de elementos e suas operações, como união, interseção e complemento.
Tabelas trigonométricas:
As tabelas trigonométricas fornecem uma referência de valores trigonométricos para vários ângulos.
Teorema de Pitágoras:
O teorema de Pitágoras diz respeito à relação entre os lados de um triângulo retângulo.
Transformações geométricas:
As transformações geométricas envolvem várias transformações como reflexões, rotações e translações aplicadas a formas geométricas.
Semelhança e Ampliação - Congruência de Polígonos Simples:
Este tópico aborda os conceitos de similaridade, ampliação e congruência para formas geométricas.
Logaritmos:
Logaritmos envolvem o estudo da relação inversa entre expoentes e logaritmos.
Equação quadrática:
A equação quadrática é uma equação polinomial de segundo grau e suas soluções.
Álgebra - Expoentes e Radicais:
Expoentes e radicais envolvem o estudo de potências e raízes de números.
Unidades:
Unidades envolvem o estudo de diferentes unidades de medida e suas conversões.
Razão, Lucro e Perda:
Este tópico aborda os conceitos de índices e suas aplicações em cálculos de lucros e perdas.
Outros tópicos são:
Perímetros e Área
aproximações
Álgebra
Geometria de Coordenadas (1) e (2)
Números Fracionários
Novidades em 6.0.F mais recente
Informações sobre Mathematics O Level Notes APK
Versões Antigas de Mathematics O Level Notes
Mathematics O Level Notes 6.0.F
Mathematics O Level Notes 4.0.A
Mathematics O Level Notes 1.0.A
Baixar de Forma Rápida e Segura via APKPure App
Um clique para instalar arquivos XAPK/APK no Android!







