Mathematics O Level Notes 정보
일반 수준의 학자를 위한 O급 수학 노트 앱입니다.
포함된 주제:
비행기의 변신:
평면에서의 변환은 변환, 반사, 회전 및 확장과 같은 다양한 기하학적 변환에 대한 연구를 포함합니다.
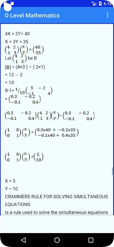
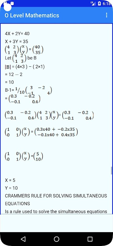
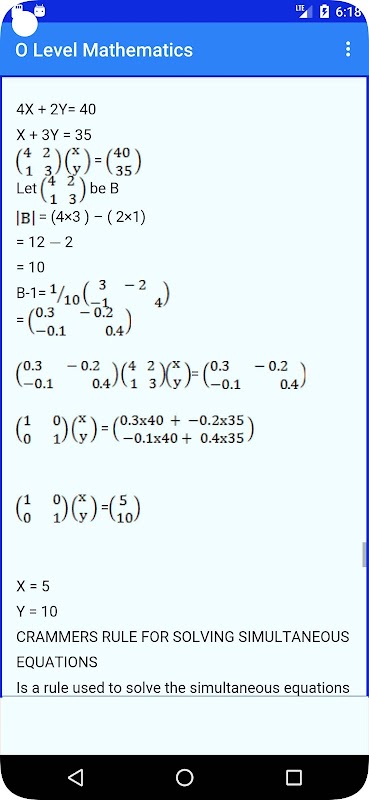
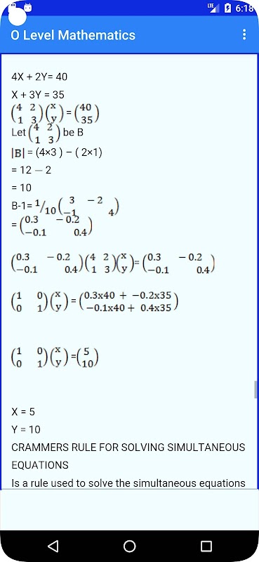
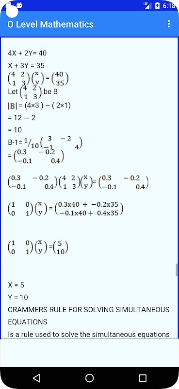
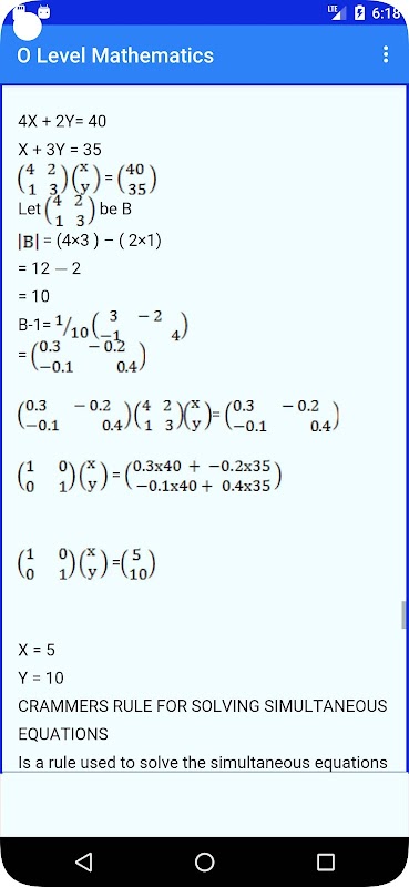
매트릭스:
행렬은 선형 방정식 시스템을 표현 및 해결하고 다양한 수학 연산을 수행하는 데 사용되는 숫자의 직사각형 배열입니다.
선형 프로그래밍:
선형 계획법은 선형 부등식을 사용하여 제약 조건에 따라 주어진 목적 함수의 최대값 또는 최소값을 찾는 최적화 문제를 다룹니다.
개연성:
확률은 사건이 발생할 가능성에 대한 연구이며 무작위 실험에서 다른 결과의 가능성을 계산하는 것과 관련됩니다.
벡터:
벡터는 크기와 방향을 모두 가진 수학적 양입니다. 그들은 물리학 및 공학과 같은 다양한 응용 분야에서 사용됩니다.
삼각법:
삼각법은 삼각형과 각과 변에 대한 연구입니다. 여기에는 삼각 비율, 함수 및 해당 응용 프로그램이 포함됩니다.
3차원 도형 - 면적 및 체적:
이 항목에서는 정육면체, 프리즘, 피라미드, 원통 및 구와 같은 3차원 도형의 표면적과 부피를 다룹니다.
좌표 기하학:
좌표 기하학은 좌표를 사용하여 평면의 점, 선 및 곡선 사이의 기하학적 모양과 관계를 연구합니다.
지구를 구체로 설명:
이 항목은 지구의 구형 특성에 초점을 맞추고 위도, 경도 및 대권과 같은 개념을 포함합니다.
원:
원은 원의 속성과 방정식에 대한 연구와 기하학 및 좌표 기하학에서의 응용을 포함합니다.
시퀀스 및 시리즈:
이 항목에서는 산술 및 기하학적 시퀀스와 시리즈, 해당 공식 및 합계 계산을 다룹니다.
기능:
함수는 한 세트의 각 요소를 다른 세트의 고유한 요소에 할당하는 수학적 관계에 대한 연구를 포함합니다.
통계:
통계는 정보에 입각한 결정을 내리기 위한 데이터 수집, 구성, 제시, 분석 및 해석에 대한 연구입니다.
다항식 함수의 연산:
이 항목에서는 덧셈, 뺄셈, 곱셈 및 나눗셈과 같은 다항식 함수와 관련된 다양한 연산을 다룹니다.
요율 및 변형:
비율과 변동은 변화율과 직접 및 역 변동의 개념을 탐구합니다.
처지:
관계는 두 데이터 세트 또는 변수 사이의 연결에 대한 연구를 포함합니다.
세트:
집합에는 요소 모음과 합집합, 교차 및 보완과 같은 해당 작업에 대한 연구가 포함됩니다.
삼각법 표:
삼각법 테이블은 다양한 각도에 대한 삼각법 값의 참조를 제공합니다.
피타고라스 정리:
피타고라스 정리는 직각 삼각형의 변 사이의 관계와 관련이 있습니다.
기하학적 변환:
기하학적 변환에는 기하학적 모양에 적용되는 반사, 회전 및 변환과 같은 다양한 변환이 포함됩니다.
유사성과 확대 - 단순 다각형의 합동:
이 항목에서는 기하학적 모양에 대한 유사성, 확대 및 합동의 개념을 다룹니다.
대수:
로그는 지수와 로그 사이의 역 관계에 대한 연구를 포함합니다.
이차 방정식:
이차 방정식은 2차 다항 방정식과 그 해입니다.
대수 - 지수 및 근호:
지수와 급진파는 거듭제곱과 수의 근에 대한 연구를 포함합니다.
단위:
단위는 다양한 측정 단위와 그 변환에 대한 연구를 포함합니다.
비율, 이익 및 손실:
이 항목에서는 비율의 개념과 손익 계산에서의 적용에 대해 다룹니다.
다른 주제는 다음과 같습니다.
둘레와 면적
근사치
대수학
좌표 기하학 (1) 및 (2)
분수 숫자







