Mathematics O Level Notes
6.1 MB
Dimensione
Everyone
Android 5.0+
Android OS
Informazioni su Mathematics O Level Notes
App di note matematiche di livello O per studiosi di livello ordinario.
Argomenti inclusi:
Trasformazione nel piano:
La trasformazione nel piano comporta lo studio di varie trasformazioni geometriche come traslazioni, riflessioni, rotazioni e dilatazioni.
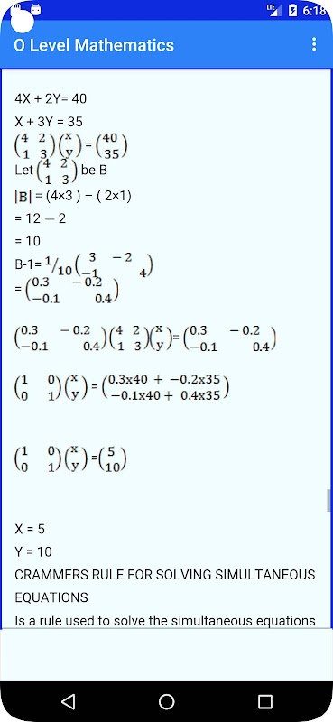
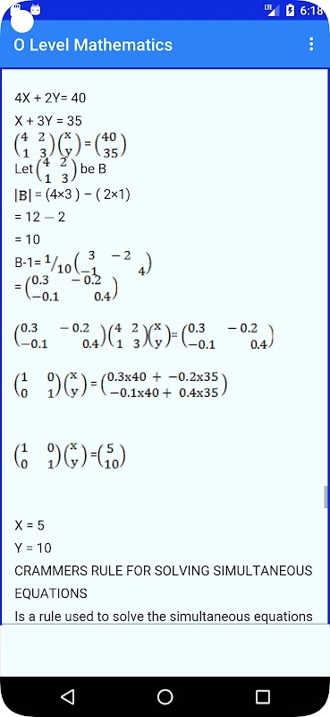
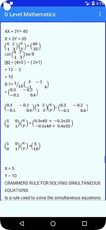
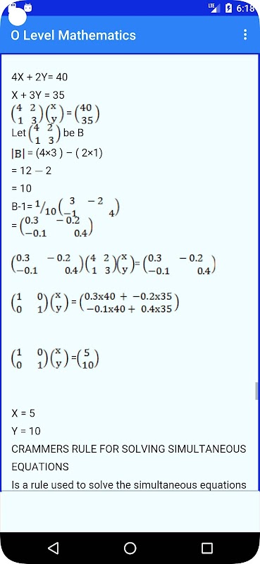
Matrici:
Le matrici sono matrici rettangolari di numeri utilizzate per rappresentare e risolvere sistemi di equazioni lineari ed eseguire varie operazioni matematiche.
Programmazione lineare:
La programmazione lineare si occupa di problemi di ottimizzazione in cui le disuguaglianze lineari vengono utilizzate per trovare il valore massimo o minimo di una data funzione obiettivo, soggetta a vincoli.
Probabilità:
La probabilità è lo studio della probabilità che si verifichino eventi e implica il calcolo delle possibilità di risultati diversi in esperimenti casuali.
Vettori:
I vettori sono quantità matematiche con grandezza e direzione. Sono utilizzati in varie applicazioni, come la fisica e l'ingegneria.
Trigonometria:
La trigonometria è lo studio dei triangoli e dei loro angoli e lati. Include rapporti trigonometrici, funzioni e loro applicazioni.
Figure tridimensionali - Aree e volumi:
Questo argomento copre le superfici e i volumi di forme tridimensionali come cubi, prismi, piramidi, cilindri e sfere.
Geometria delle coordinate:
La geometria delle coordinate implica l'uso delle coordinate per studiare le forme geometriche e le relazioni tra punti, linee e curve in un piano.
Rappresenta la Terra come una sfera:
Questo argomento si concentra sulla natura sferica della Terra e include concetti come latitudine, longitudine e cerchi massimi.
Cerchio:
Circle implica lo studio delle proprietà e delle equazioni dei cerchi e le loro applicazioni in geometria e geometria delle coordinate.
Sequenza e serie:
Questo argomento tratta sequenze e serie aritmetiche e geometriche, le loro formule e i calcoli di somma.
Funzione:
Le funzioni implicano lo studio delle relazioni matematiche che assegnano ogni elemento in un insieme a un elemento unico in un altro insieme.
Statistiche:
La statistica è lo studio della raccolta, dell'organizzazione, della presentazione, dell'analisi e dell'interpretazione dei dati per prendere decisioni informate.
Operazione della funzione polinomiale:
Questo argomento copre varie operazioni che coinvolgono funzioni polinomiali, come addizione, sottrazione, moltiplicazione e divisione.
Tariffe e Variazioni:
Tassi e variazioni esplorano il concetto di tassi di variazione e variazioni dirette e inverse.
Relazioni:
Le relazioni implicano lo studio delle connessioni tra due insiemi di dati o variabili.
Imposta:
Gli insiemi implicano lo studio di insiemi di elementi e delle loro operazioni, come l'unione, l'intersezione e il complemento.
Tavole trigonometriche:
Le tabelle trigonometriche forniscono un riferimento ai valori trigonometrici per vari angoli.
Teorema di Pitagora:
Il teorema di Pitagora si riferisce alla relazione tra i lati di un triangolo rettangolo.
Trasformazioni geometriche:
Le trasformazioni geometriche implicano varie trasformazioni come riflessioni, rotazioni e traslazioni applicate a forme geometriche.
Somiglianza e ingrandimento - Congruenza del poligono semplice:
Questo argomento copre i concetti di somiglianza, ingrandimento e congruenza per le forme geometriche.
Logaritmi:
I logaritmi implicano lo studio della relazione inversa tra esponenti e logaritmi.
Equazione quadrata:
L'equazione quadratica è un'equazione polinomiale di secondo grado e le sue soluzioni.
Algebra - Esponenti e radicali:
Esponenti e radicali implicano lo studio delle potenze e delle radici dei numeri.
Unità:
Le unità riguardano lo studio di diverse unità di misura e le loro conversioni.
Rapporto, profitti e perdite:
Questo argomento copre i concetti di rapporti e le relative applicazioni nei calcoli di profitti e perdite.
Altri argomenti sono:
Perimetri e Area
Approssimazioni
Algebra
Geometria delle coordinate (1) e (2)
Frazioni Numeri
What's new in the latest 6.0.F
Informazioni sull'APK Mathematics O Level Notes
Vecchie versioni di Mathematics O Level Notes
Mathematics O Level Notes 6.0.F
Mathematics O Level Notes 4.0.A
Mathematics O Level Notes 1.0.A
Download super veloce e sicuro tramite l'app APKPure
Basta un clic per installare i file XAPK/APK su Android!







