Mathematics O Level Notes
6.1 MB
Rozmiar Pliku
Everyone
Android 5.0+
Android OS
O Mathematics O Level Notes
Aplikacja notatek matematycznych na poziomie O dla zwykłych uczonych na poziomie.
Zawarte tematy:
Transformacja w samolocie:
Transformacja w płaszczyźnie obejmuje badanie różnych transformacji geometrycznych, takich jak translacje, odbicia, obroty i dylatacje.
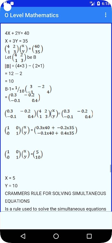
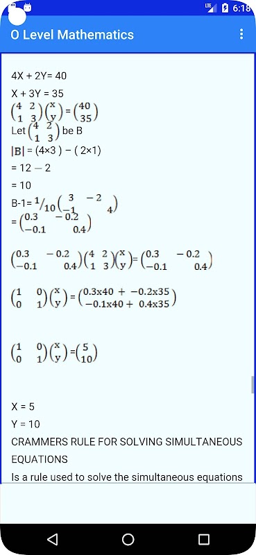
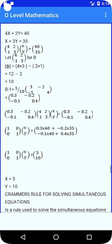
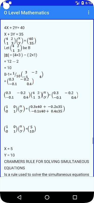
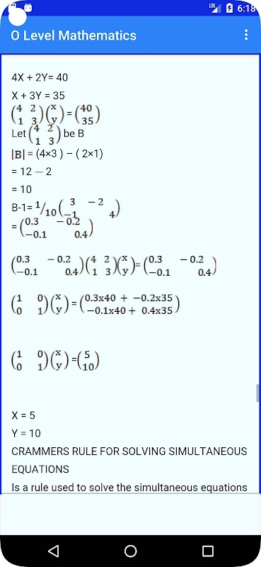
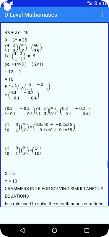
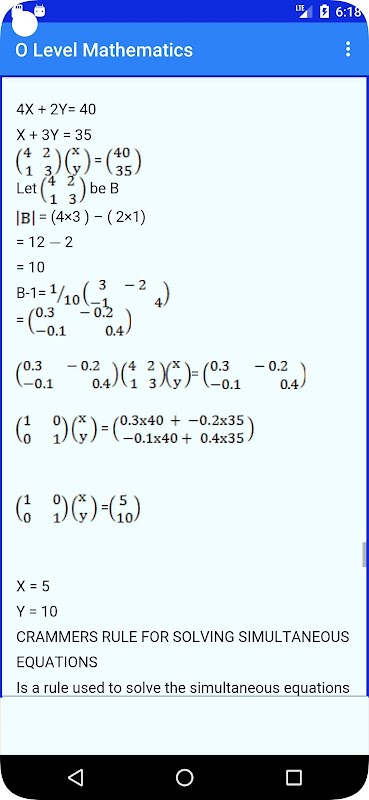
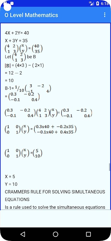
macierze:
Macierze to prostokątne tablice liczb używane do reprezentowania i rozwiązywania układów równań liniowych oraz wykonywania różnych operacji matematycznych.
Programowanie liniowe:
Programowanie liniowe zajmuje się problemami optymalizacyjnymi, w których nierówności liniowe są wykorzystywane do znalezienia maksymalnej lub minimalnej wartości danej funkcji celu, z zastrzeżeniem ograniczeń.
Prawdopodobieństwo:
Prawdopodobieństwo to badanie prawdopodobieństwa wystąpienia zdarzeń i obejmuje obliczanie prawdopodobieństwa różnych wyników w losowych eksperymentach.
Wektory:
Wektory to wielkości matematyczne, które mają zarówno wielkość, jak i kierunek. Są wykorzystywane w różnych zastosowaniach, takich jak fizyka i inżynieria.
Trygonometria:
Trygonometria to nauka o trójkątach oraz ich kątach i bokach. Obejmuje stosunki trygonometryczne, funkcje i ich zastosowania.
Figury trójwymiarowe - pola i objętości:
Ten temat obejmuje pola powierzchni i objętości trójwymiarowych kształtów, takich jak sześciany, graniastosłupy, ostrosłupy, cylindry i kule.
Geometrii współrzędnych:
Geometria współrzędnych obejmuje wykorzystanie współrzędnych do badania kształtów geometrycznych i relacji między punktami, liniami i krzywymi na płaszczyźnie.
Ujmuje Ziemię jako kulę:
Ten temat koncentruje się na kulistej naturze Ziemi i obejmuje pojęcia takie jak szerokość i długość geograficzna oraz koła wielkie.
Koło:
Koło obejmuje badanie właściwości i równań okręgów oraz ich zastosowania w geometrii i geometrii współrzędnych.
Sekwencja i seria:
W tym temacie omówiono ciągi i szeregi arytmetyczne i geometryczne, ich wzory oraz obliczenia sum.
Funkcjonować:
Funkcje obejmują badanie relacji matematycznych, które przypisują każdy element w jednym zestawie do unikalnego elementu w innym zestawie.
Statystyka:
Statystyka to nauka o gromadzeniu, organizacji, prezentacji, analizie i interpretacji danych w celu podejmowania świadomych decyzji.
Działanie funkcji wielomianu:
W tym temacie omówiono różne operacje obejmujące funkcje wielomianowe, takie jak dodawanie, odejmowanie, mnożenie i dzielenie.
Stawki i odmiany:
Kursy i zmiany badają koncepcję tempa zmian oraz bezpośrednich i odwrotnych zmian.
Relacje:
Relacje obejmują badanie powiązań między dwoma zestawami danych lub zmiennych.
Zestawy:
Zbiory obejmują badanie zbiorów elementów i ich operacji, takich jak łączenie, przecinanie i dopełnianie.
Tablice trygonometryczne:
Tabele trygonometryczne zawierają odniesienia do wartości trygonometrycznych dla różnych kątów.
Twierdzenie Pitagorasa:
Twierdzenie Pitagorasa dotyczy relacji między bokami trójkąta prostokątnego.
Transformacje geometryczne:
Transformacje geometryczne obejmują różne transformacje, takie jak odbicia, obroty i translacje stosowane do kształtów geometrycznych.
Podobieństwo i powiększenie — przystawanie prostego wielokąta:
W tym temacie omówiono pojęcia podobieństwa, powiększenia i kongruencji kształtów geometrycznych.
Logarytmy:
Logarytmy obejmują badanie odwrotnej zależności między wykładnikami a logarytmami.
Równanie kwadratowe:
Równanie kwadratowe to równanie wielomianowe drugiego stopnia i jego rozwiązania.
Algebra - wykładniki i pierwiastki:
Wykładniki i radykały obejmują badanie potęg i pierwiastków liczb.
Jednostki:
Jednostki obejmują badanie różnych jednostek miar i ich konwersji.
Stosunek, zysk i strata:
W tym temacie omówiono koncepcje wskaźników i ich zastosowania w obliczeniach zysków i strat.
Inne tematy to:
Obwody i powierzchnia
przybliżenia
Algebra
Geometria współrzędnych (1) i (2)
Liczby ułamkowe
What's new in the latest 6.0.F
Informacje Mathematics O Level Notes APK
Stare wersje Mathematics O Level Notes
Mathematics O Level Notes 6.0.F
Mathematics O Level Notes 4.0.A
Mathematics O Level Notes 1.0.A
Superszybkie i bezpieczne pobieranie za pośrednictwem aplikacji APKPure
Jedno kliknięcie, aby zainstalować pliki XAPK/APK na Androidzie!







