دربارهی Mathematics O Level Notes
برنامه یادداشت های ریاضی سطح O برای دانش پژوهان سطح معمولی.
موضوعات شامل:
دگرگونی در هواپیما:
تبدیل در صفحه شامل مطالعه دگرگونی های هندسی مختلف مانند ترجمه ها، بازتاب ها، چرخش ها و اتساع ها است.
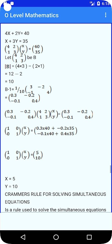
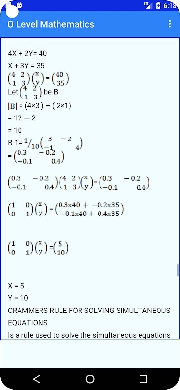
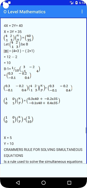
ماتریس ها:
ماتریس ها آرایه های مستطیلی از اعداد هستند که برای نشان دادن و حل سیستم های معادلات خطی و انجام عملیات های مختلف ریاضی استفاده می شوند.
برنامه ریزی خطی:
برنامه نویسی خطی با مسائل بهینه سازی سر و کار دارد که در آن از نابرابری های خطی برای یافتن حداکثر یا حداقل مقدار یک تابع هدف معین، مشروط به محدودیت ها استفاده می شود.
احتمال:
احتمال، مطالعه احتمال وقوع رویدادها است و شامل محاسبه شانس نتایج مختلف در آزمایشهای تصادفی است.
بردارها:
بردارها کمیت های ریاضی با قدر و جهت هستند. آنها در کاربردهای مختلفی مانند فیزیک و مهندسی استفاده می شوند.
مثلثات:
مثلثات مطالعه مثلث ها و زوایای و اضلاع آنهاست. این شامل نسبت های مثلثاتی، توابع و کاربردهای آنها می باشد.
اشکال سه بعدی - مساحت ها و حجم ها:
این مبحث سطوح و حجم اشکال سه بعدی مانند مکعب، منشور، هرم، استوانه و کره را پوشش می دهد.
هندسه مختصات:
هندسه مختصات شامل استفاده از مختصات برای مطالعه اشکال هندسی و روابط بین نقاط، خطوط و منحنی ها در یک صفحه است.
زمین را به عنوان یک کره در نظر می گیرد:
این مبحث بر ماهیت کروی زمین تمرکز دارد و مفاهیمی مانند طول جغرافیایی، طول جغرافیایی و دایره های بزرگ را شامل می شود.
دایره:
دایره شامل مطالعه خواص و معادلات دایره ها و کاربرد آنها در هندسه و هندسه مختصات است.
سکانس و سریال:
این مبحث دنباله ها و سری های حسابی و هندسی، فرمول های آنها و محاسبات مجموع را پوشش می دهد.
تابع:
توابع شامل مطالعه روابط ریاضی است که هر عنصر در یک مجموعه را به یک عنصر منحصر به فرد در مجموعه دیگر اختصاص می دهد.
آمار:
آمار مطالعه جمع آوری داده ها، سازماندهی، ارائه، تجزیه و تحلیل و تفسیر برای تصمیم گیری آگاهانه است.
عملکرد تابع چند جمله ای:
این مبحث عملیات های مختلف شامل توابع چند جمله ای مانند جمع، تفریق، ضرب و تقسیم را پوشش می دهد.
نرخ ها و تغییرات:
نرخ ها و تغییرات مفهوم نرخ تغییر و تغییرات مستقیم و معکوس را بررسی می کند.
روابط:
روابط شامل مطالعه ارتباط بین دو مجموعه داده یا متغیر است.
مجموعه ها:
مجموعه ها شامل مطالعه مجموعه ای از عناصر، و عملیات آنها، مانند اتحاد، تقاطع، و مکمل است.
جداول مثلثاتی:
جداول مثلثاتی مرجع مقادیر مثلثاتی برای زوایای مختلف است.
قضیه فیثاغورث:
قضیه فیثاغورث به رابطه بین اضلاع مثلث قائم الزاویه مربوط می شود.
دگرگونی های هندسی:
تبدیلهای هندسی شامل تبدیلهای مختلفی مانند بازتابها، چرخشها و ترجمههای اعمال شده روی اشکال هندسی است.
تشابه و بزرگ شدن - همخوانی چندضلعی ساده:
این مبحث مفاهیم شباهت، بزرگ شدن و همخوانی برای اشکال هندسی را پوشش می دهد.
لگاریتم ها:
لگاریتم شامل مطالعه رابطه معکوس بین توان و لگاریتم است.
معادله درجه دوم:
معادله درجه دوم یک معادله چند جمله ای درجه دو و راه حل های آن است.
جبر - نماها و رادیکال ها:
شارح ها و رادیکال ها شامل مطالعه قدرت ها و ریشه های اعداد هستند.
واحدها:
واحدها شامل مطالعه واحدهای اندازه گیری مختلف و تبدیل آنها می شود.
نسبت، سود و زیان:
این مبحث مفاهیم نسبت ها و کاربرد آنها در محاسبات سود و زیان را پوشش می دهد.
سایر موضوعات عبارتند از:
محیط ها و مساحت
تقریب ها
جبر
هندسه مختصات (1) و (2)
کسری اعداد
جدیدترین 6.0.F چه خبر است
اطلاعات Mathematics O Level Notes APK
نسخههای قدیمی Mathematics O Level Notes
Mathematics O Level Notes 6.0.F
Mathematics O Level Notes 4.0.A
Mathematics O Level Notes 1.0.A
دانلود فوق سریع و ایمن از طریق برنامه APKPure
برای نصب فایل های XAPK/APK در اندروید با یک کلیک!







