Mathematics O Level Notes
6.1 MB
ファイルサイズ
- セキュリティ
Everyone
Android 5.0+
Android OS
このMathematics O Level Notesについて
普通レベルの学者向けのOレベルの数学ノートアプリ。
含まれるトピック:
平面内の変換:
平面内の変換には、平行移動、反射、回転、膨張などのさまざまな幾何学的変換の研究が含まれます。
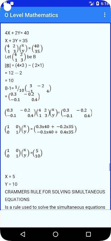
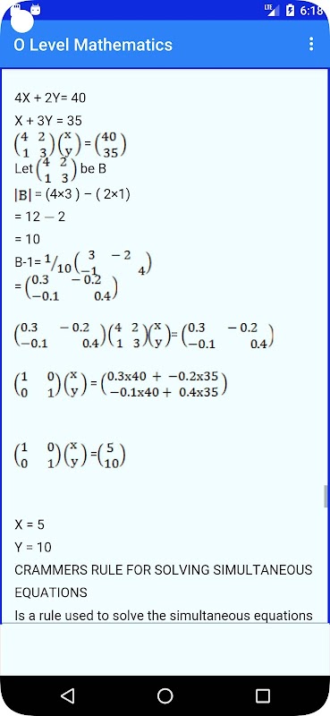
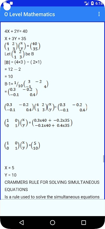
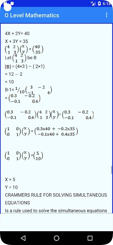
行列:
行列は、線形方程式系を表現および解き、さまざまな数学的演算を実行するために使用される数値の長方形の配列です。
線形計画:
線形計画法は、線形不等式を使用して、制約に従って特定の目的関数の最大値または最小値を見つける最適化問題を扱います。
確率:
確率とは、イベントが発生する可能性を研究するものであり、ランダムな実験でさまざまな結果が生じる可能性を計算することが含まれます。
ベクトル:
ベクトルは、大きさと方向の両方を持つ数学的な量です。物理学や工学などのさまざまな用途に使用されます。
三角法:
三角法は、三角形とその角度と辺の研究です。三角比、関数、およびそれらの応用が含まれます。
3 次元図形 - 面積と体積:
このトピックでは、立方体、角柱、ピラミッド、円柱、球などの 3 次元形状の表面積と体積について説明します。
座標ジオメトリ:
座標幾何学では、座標を使用して幾何学的形状と、平面内の点、線、曲線間の関係を研究します。
地球を球体として考える:
このトピックは地球の球形の性質に焦点を当てており、緯度、経度、大圏などの概念が含まれています。
丸:
円では、円の性質と方程式、および幾何学と座標幾何学におけるそれらの応用の研究が含まれます。
シーケンスとシリーズ:
このトピックでは、算術および幾何学的な数列と級数、その公式、および合計の計算について説明します。
関数:
関数には、あるセット内の各要素を別のセット内の固有の要素に割り当てる数学的関係の研究が含まれます。
統計:
統計学は、情報に基づいた意思決定を行うためのデータの収集、編成、表示、分析、解釈の研究です。
多項式関数の演算:
このトピックでは、加算、減算、乗算、除算などの多項式関数を含むさまざまな演算について説明します。
料金とバリエーション:
「レートと変動」では、変化率と直接変動と逆変動の概念を探ります。
関係:
関係には、2 セットのデータまたは変数間の関係の研究が含まれます。
セット:
セットには、要素のコレクションとその演算 (結合、交差、補体など) の研究が含まれます。
三角関数表:
三角関数テーブルは、さまざまな角度の三角関数の値の参照を提供します。
ピタゴラスの定理:
ピタゴラスの定理は、直角三角形の辺間の関係に関係しています。
幾何学的変換:
幾何学的変換には、幾何学的形状に適用される反射、回転、平行移動などのさまざまな変換が含まれます。
相似と拡大 - 単純な多角形の合同:
このトピックでは、幾何学的形状の類似性、拡大、および合同の概念について説明します。
対数:
対数には、指数と対数の間の逆関係の研究が含まれます。
二次方程式:
二次方程式は、2 次多項方程式とその解です。
代数 - 指数と根数:
指数と根数には、数の累乗と根の研究が含まれます。
単位:
単位には、さまざまな測定単位とその変換の研究が含まれます。
比率、損益:
このトピックでは、比率の概念と損益計算におけるその応用について説明します。
その他のトピックは次のとおりです。
周囲と面積
近似値
代数
座標ジオメトリ (1) および (2)
分数の数







