Mathematics O Level Notes
6.1 MB
Taille de fichier
Everyone
Android 5.0+
Android OS
À propos de Mathematics O Level Notes
Application de notes mathématiques de niveau O pour les universitaires de niveau ordinaire.
Sujets inclus :
Transformation dans le plan :
La transformation dans le plan implique l'étude de diverses transformations géométriques telles que les translations, les réflexions, les rotations et les dilatations.
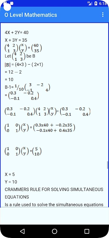
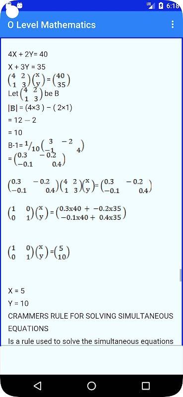
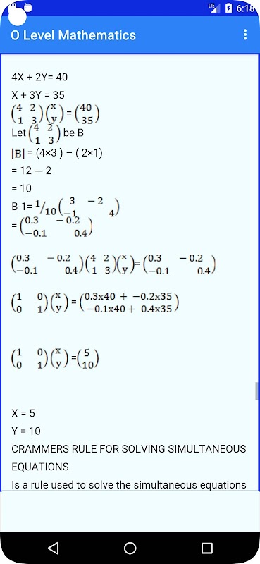
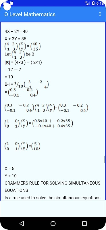
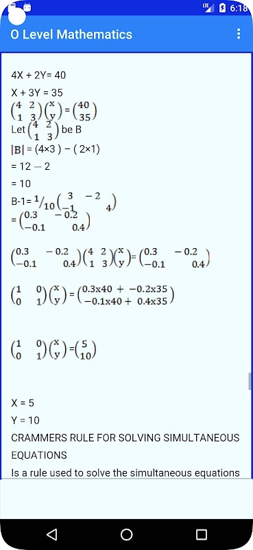
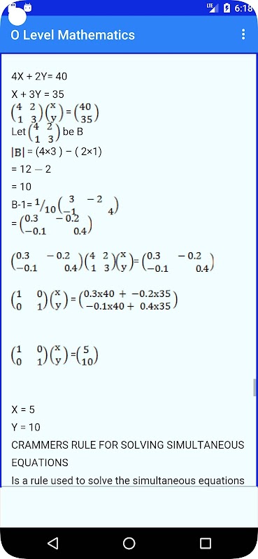
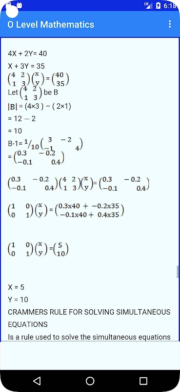
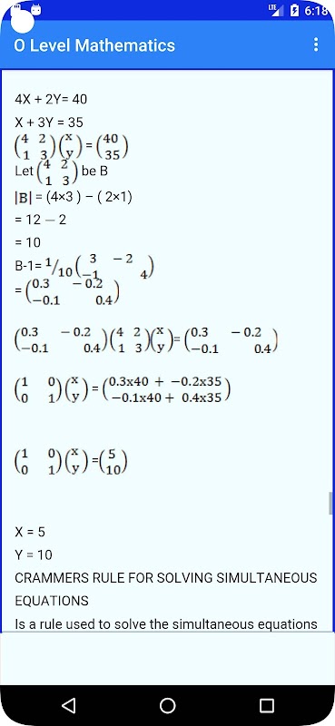
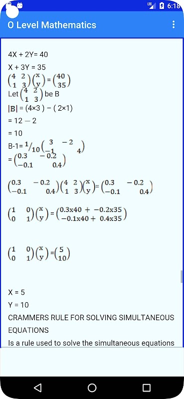
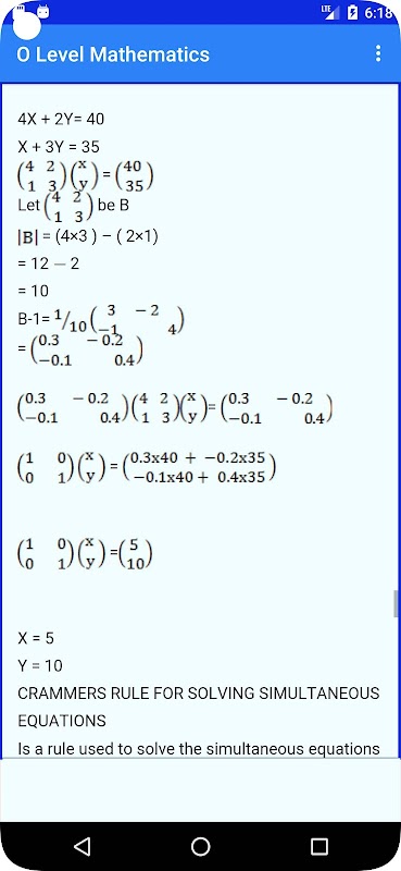
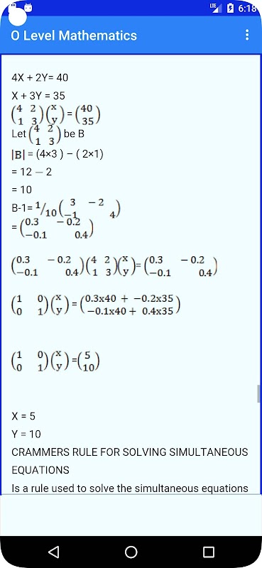
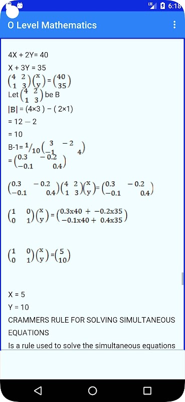
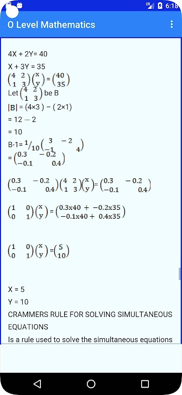
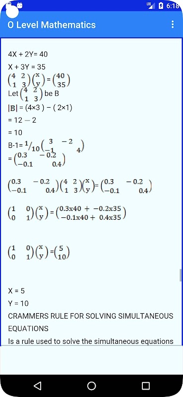
Matrices :
Les matrices sont des tableaux rectangulaires de nombres utilisés pour représenter et résoudre des systèmes d'équations linéaires et effectuer diverses opérations mathématiques.
Programmation linéaire:
La programmation linéaire traite des problèmes d'optimisation où les inégalités linéaires sont utilisées pour trouver la valeur maximale ou minimale d'une fonction objectif donnée, sous réserve de contraintes.
Probabilité:
La probabilité est l'étude de la probabilité que des événements se produisent, et elle implique le calcul des chances de différents résultats dans des expériences aléatoires.
Vecteurs :
Les vecteurs sont des quantités mathématiques avec à la fois une magnitude et une direction. Ils sont utilisés dans diverses applications, telles que la physique et l'ingénierie.
Trigonométrie:
La trigonométrie est l'étude des triangles et de leurs angles et côtés. Il comprend des rapports trigonométriques, des fonctions et leurs applications.
Figures tridimensionnelles - Surfaces et volumes :
Ce sujet couvre les surfaces et les volumes de formes tridimensionnelles comme les cubes, les prismes, les pyramides, les cylindres et les sphères.
Géométrie coordonnée:
Coordinate Geometry implique l'utilisation de coordonnées pour étudier les formes géométriques et les relations entre les points, les lignes et les courbes dans un plan.
Compte la Terre comme une sphère :
Ce sujet se concentre sur la nature sphérique de la Terre et inclut des concepts tels que la latitude, la longitude et les grands cercles.
Cercle:
Le cercle implique l'étude des propriétés et des équations des cercles et de leurs applications en géométrie et en géométrie de coordonnées.
Séquence et série :
Cette rubrique couvre les séquences et les séries arithmétiques et géométriques, leurs formules et les calculs de somme.
Fonction:
Les fonctions impliquent l'étude des relations mathématiques qui attribuent chaque élément d'un ensemble à un élément unique d'un autre ensemble.
Statistiques:
Les statistiques sont l'étude de la collecte, de l'organisation, de la présentation, de l'analyse et de l'interprétation des données pour prendre des décisions éclairées.
Fonctionnement de la fonction polynomiale :
Cette rubrique couvre diverses opérations impliquant des fonctions polynomiales, telles que l'addition, la soustraction, la multiplication et la division.
Tarifs et variations :
Taux et variations explorent le concept des taux de changement et des variations directes et inverses.
Rapports:
Les relations impliquent l'étude des liens entre deux ensembles de données ou de variables.
Ensembles :
Les ensembles impliquent l'étude de collections d'éléments et de leurs opérations, telles que l'union, l'intersection et le complément.
Tables trigonométriques :
Les tables trigonométriques fournissent une référence des valeurs trigonométriques pour différents angles.
Théorème de Pythagore:
Le théorème de Pythagore concerne la relation entre les côtés d'un triangle rectangle.
Transformations géométriques :
Les transformations géométriques impliquent diverses transformations telles que des réflexions, des rotations et des translations appliquées à des formes géométriques.
Similitude et agrandissement - Congruence d'un polygone simple :
Cette rubrique couvre les concepts de similarité, d'agrandissement et de congruence pour les formes géométriques.
Logarithmes :
Les logarithmes impliquent l'étude de la relation inverse entre les exposants et les logarithmes.
Équation quadratique:
L'équation quadratique est une équation polynomiale du second degré et ses solutions.
Algèbre - Exposants et Radicaux :
Les exposants et les radicaux impliquent l'étude des puissances et des racines des nombres.
Unités:
Les unités impliquent l'étude de différentes unités de mesure et de leurs conversions.
Ratio, Profit et Perte :
Cette rubrique couvre les concepts de ratios et leurs applications dans les calculs de profits et pertes.
Les autres sujets sont :
Périmètres et superficie
Approximations
Algèbre
Géométrie de coordonnées (1) et (2)
Nombres de fractions
What's new in the latest 6.0.F
Informations Mathematics O Level Notes APK
Vieilles versions de Mathematics O Level Notes
Mathematics O Level Notes 6.0.F
Mathematics O Level Notes 4.0.A
Mathematics O Level Notes 1.0.A
Téléchargement super rapide et sûr via l'application APKPure
Un clic pour installer les fichiers XAPK/APK sur Android!







