Mathematics O Level Notes
6.1 MB
Dung lượng tệp
Everyone
Android 5.0+
Android OS
Giới thiệu về Mathematics O Level Notes
Ứng dụng ghi chú toán học cấp độ O dành cho các học giả cấp độ thông thường.
Các chủ đề bao gồm:
Phép biến hình trong mặt phẳng:
Phép biến đổi trong Mặt phẳng liên quan đến việc nghiên cứu các phép biến đổi hình học khác nhau như tịnh tiến, phản xạ, xoay và giãn nở.
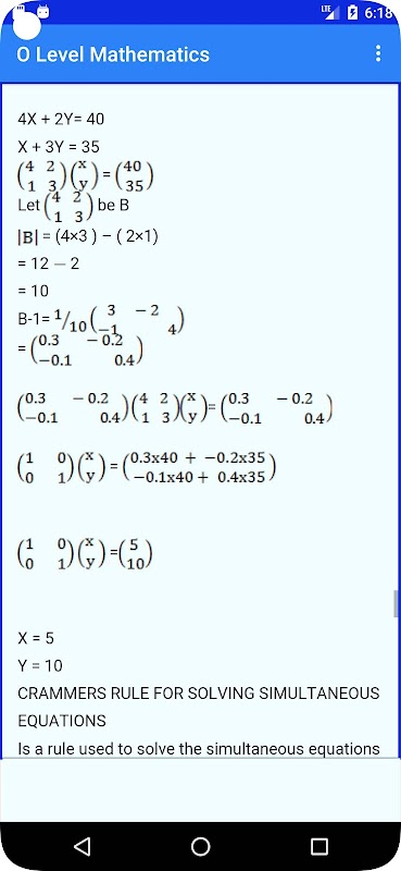
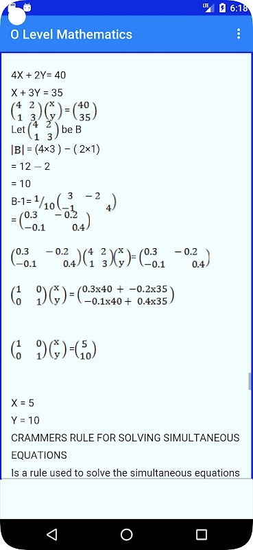
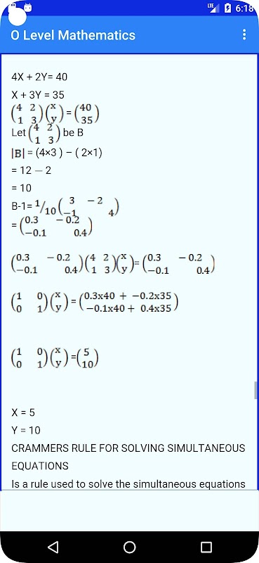
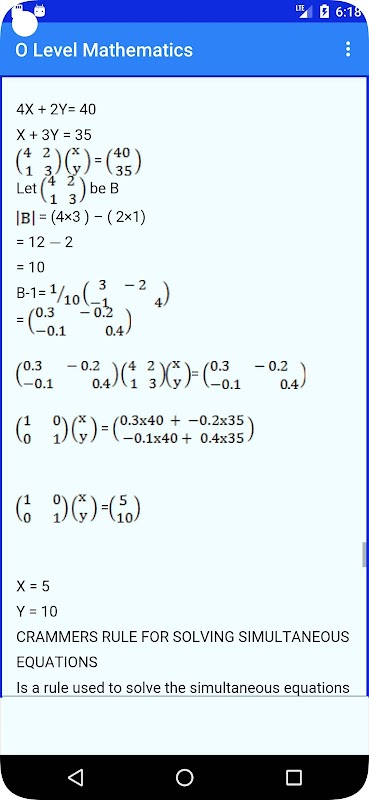
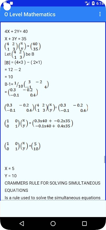
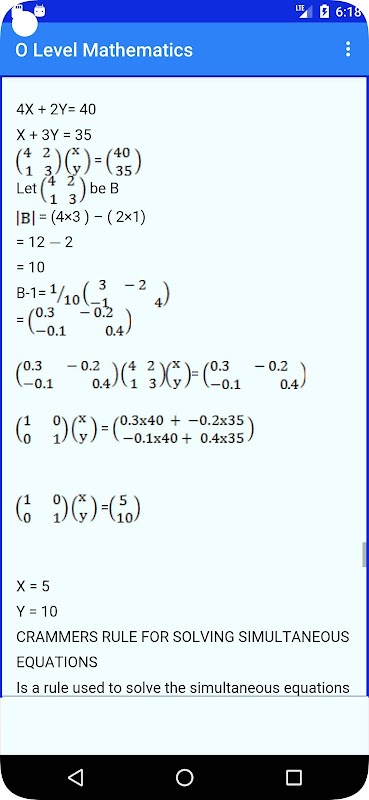
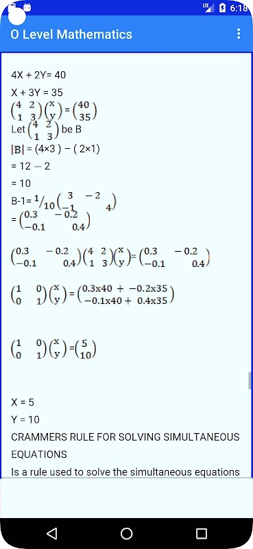
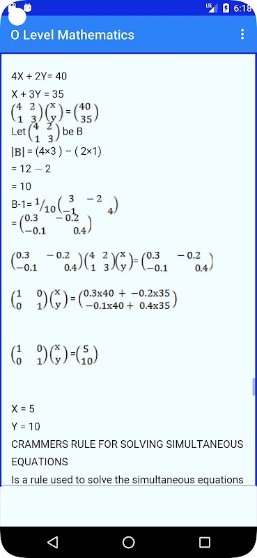
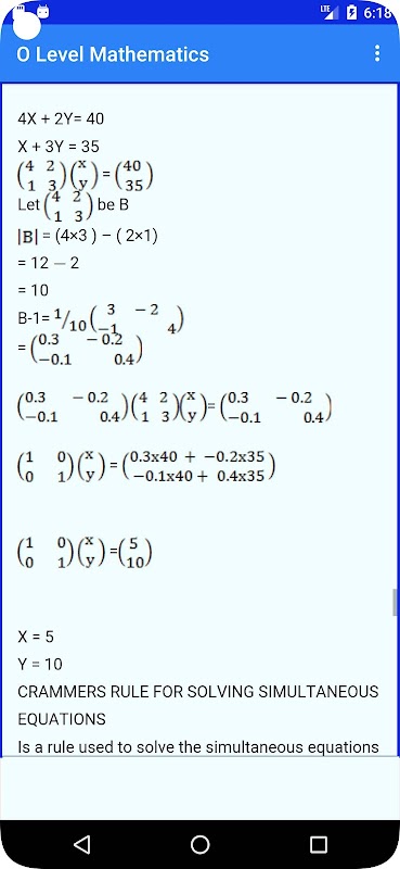
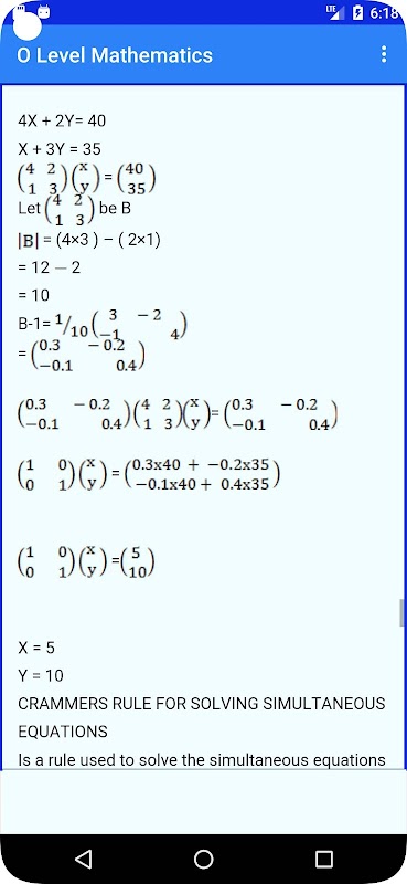
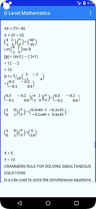
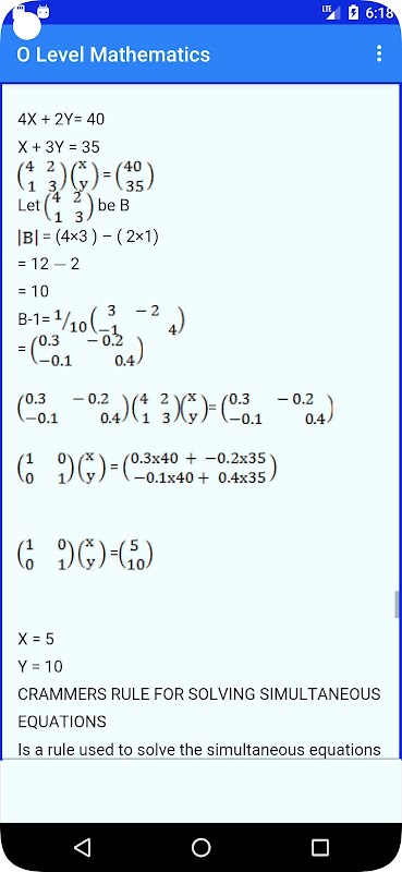
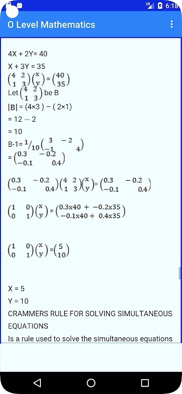
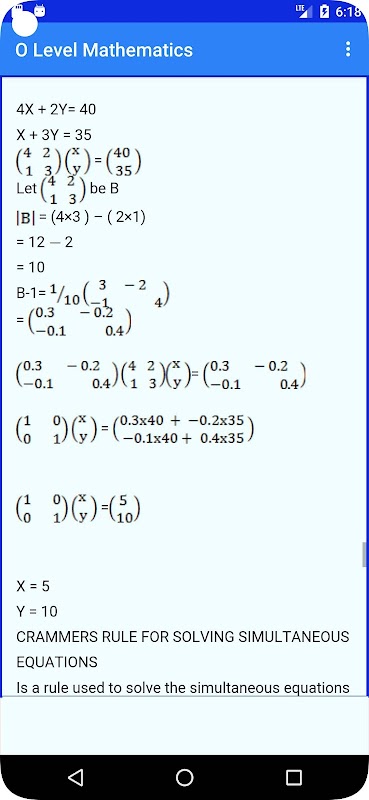
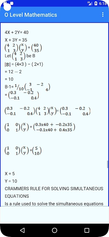
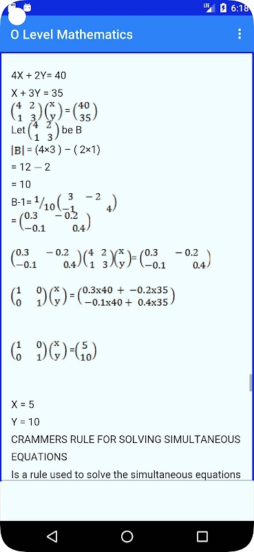
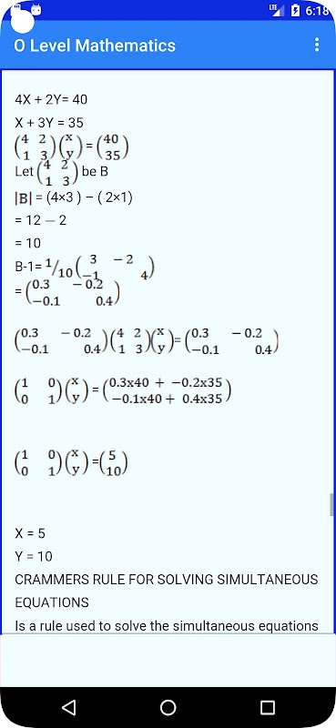
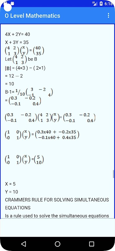
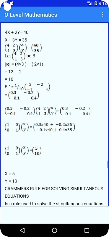
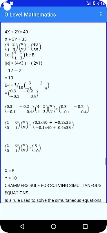
ma trận:
Ma trận là các dãy số hình chữ nhật được sử dụng để biểu diễn và giải các hệ phương trình tuyến tính và thực hiện các phép toán khác nhau.
Lập trình tuyến tính:
Quy hoạch tuyến tính xử lý các bài toán tối ưu hóa trong đó các bất đẳng thức tuyến tính được sử dụng để tìm giá trị lớn nhất hoặc nhỏ nhất của một hàm mục tiêu đã cho, tuân theo các ràng buộc.
xác suất:
Xác suất là nghiên cứu về khả năng xảy ra của các sự kiện và nó liên quan đến việc tính toán khả năng xảy ra các kết quả khác nhau trong các thí nghiệm ngẫu nhiên.
vectơ:
Vectơ là đại lượng toán học có cả độ lớn và hướng. Chúng được sử dụng trong các ứng dụng khác nhau, chẳng hạn như vật lý và kỹ thuật.
lượng giác:
Lượng giác là nghiên cứu về các hình tam giác và các góc và các cạnh của chúng. Nó bao gồm các tỉ số lượng giác, các hàm và ứng dụng của chúng.
Hình ba chiều - Diện tích và Thể tích:
Chủ đề này bao gồm diện tích bề mặt và thể tích của các hình dạng ba chiều như hình lập phương, hình lăng trụ, hình chóp, hình trụ và hình cầu.
Hình học tọa độ:
Hình học tọa độ liên quan đến việc sử dụng tọa độ để nghiên cứu các hình dạng hình học và mối quan hệ giữa các điểm, đường thẳng và đường cong trong một mặt phẳng.
Tài khoản Trái đất như một Sphere:
Chủ đề này tập trung vào bản chất hình cầu của Trái đất và bao gồm các khái niệm như vĩ độ, kinh độ và vòng tròn lớn.
Vòng tròn:
Đường tròn liên quan đến việc nghiên cứu các tính chất và phương trình của đường tròn và các ứng dụng của chúng trong hình học và hình học tọa độ.
Trình tự và chuỗi:
Chủ đề này bao gồm các chuỗi và chuỗi số học và hình học, công thức của chúng và phép tính tổng.
Chức năng:
Các hàm liên quan đến việc nghiên cứu các quan hệ toán học gán từng phần tử trong một tập hợp cho một phần tử duy nhất trong tập hợp khác.
Số liệu thống kê:
Thống kê là nghiên cứu về thu thập, tổ chức, trình bày, phân tích và giải thích dữ liệu để đưa ra các quyết định sáng suốt.
Hoạt động của chức năng đa thức:
Chủ đề này bao gồm các hoạt động khác nhau liên quan đến hàm đa thức, chẳng hạn như cộng, trừ, nhân và chia.
Tỷ lệ và biến thể:
Tỷ lệ và Biến thể khám phá khái niệm về tỷ lệ thay đổi và các biến thể trực tiếp và nghịch đảo.
Quan hệ:
Mối quan hệ liên quan đến việc nghiên cứu các kết nối giữa hai bộ dữ liệu hoặc biến.
Bộ:
Các tập hợp liên quan đến việc nghiên cứu các tập hợp các phần tử và hoạt động của chúng, chẳng hạn như hợp, giao và phần bù.
Bảng lượng giác:
Bảng lượng giác cung cấp tham chiếu các giá trị lượng giác cho các góc khác nhau.
Định lý Py-ta-go:
Định lý Pythagoras liên quan đến mối quan hệ giữa các cạnh của một tam giác vuông.
Biến đổi hình học:
Các phép biến đổi hình học liên quan đến các phép biến đổi khác nhau như phản xạ, xoay và tịnh tiến được áp dụng cho các hình dạng hình học.
Tương tự và mở rộng - Sự đồng dạng của đa giác đơn giản:
Chủ đề này bao gồm các khái niệm về sự tương tự, mở rộng và đồng dạng cho các hình dạng hình học.
logarit:
Logarit liên quan đến việc nghiên cứu mối quan hệ nghịch đảo giữa số mũ và logarit.
Phương trình bậc hai:
Phương trình bậc hai là phương trình đa thức bậc hai và các nghiệm của nó.
Đại số - Số mũ và Cấp số:
Số mũ và Cấp số liên quan đến việc nghiên cứu lũy thừa và căn của các số.
Các đơn vị:
Các đơn vị liên quan đến việc nghiên cứu các đơn vị đo lường khác nhau và chuyển đổi của chúng.
Tỷ lệ, lãi và lỗ:
Chủ đề này bao gồm các khái niệm về tỷ lệ và ứng dụng của chúng trong tính toán lãi và lỗ.
Các chủ đề khác là:
Chu vi và diện tích
xấp xỉ
Đại số học
Hình học tọa độ (1) và (2)
số phân số
What's new in the latest 6.0.F
Thông tin APK Mathematics O Level Notes
Phiên bản cũ của Mathematics O Level Notes
Mathematics O Level Notes 6.0.F
Mathematics O Level Notes 4.0.A
Mathematics O Level Notes 1.0.A
Tải xuống siêu nhanh và an toàn thông qua Ứng dụng APKPure
Một cú nhấp chuột để cài đặt các tệp XAPK/APK trên Android!







