Quantum Computing সম্পর্কে
চলতে চলতে সাধারণ কোয়ান্টাম সার্কিট তৈরি এবং চালিত করুন
অ্যান্ড্রয়েডের জন্য একটি সফ্টওয়্যার যা কোয়ান্টাম কম্পিউটারের ক্রিয়াগুলি অনুকরণ করে
মূলত সীমাবদ্ধ কার্যকারিতা সহ একটি কোয়ান্টাম কম্পিউটার সিমুলেটর
এমনকি আসার সময়েও প্রত্যেকের পরীক্ষা করা সক্ষম করা এর মূল উদ্দেশ্য। যেহেতু এই অ্যাপ্লিকেশনটি কেবল একটি এমুলেটর রয়েছে তাই এটি ব্লাচ গোলকের কোয়েটগুলির অবস্থান প্রদর্শন করতে পারে। এই অ্যাপ্লিকেশনটি সিস্টেমের স্টেটভেক্টরটিও দেখায় (সম্ভাব্যতা মোডে) এবং চূড়ান্ত একক গেটটি শীঘ্রই অ্যাক্সেসযোগ্য হবে। সীমাটি কেবলমাত্র আপনার ডিভাইসের কম্পিউটিং শক্তি!
নতুন কার্যকারিতার জন্য বিটা প্রোগ্রামে পরীক্ষার এবং যোগদানের জন্য সহায়তা করুন!
আপনি আপনার কুইটগুলিতে যে কোনও ম্যাট্রিকেস প্রয়োগ করতে পারবেন যতক্ষণ না তারা গ্রুপ এসইউ (এন) এর সদস্য হন & # 8211; তাদের একক হতে হবে এবং একটি ইউনিট নির্ধারক থাকতে হবে।
ব্যাকএন্ড সম্পর্কে
অ্যাপ্লিকেশনটি কোয়ান্টাম সার্কিটগুলি অনুকরণের জন্য একটি ঘরে তৈরি ব্যাকএন্ড ব্যবহার করে। এটি এখনও শব্দ নিয়ে কাজ করে না। ব্যাকএন্ডটি জাভাতে লেখা এবং পুরো উত্স কোডটি হেক্সাডেক / কোয়ান্টাম এ গিটহাবের সন্ধান করতে পারে
দয়া করে সচেতন হন যে এই অ্যাপ্লিকেশনটির কুইট অর্ডার বিগ-এন্ডিয়ান , অর্থ একটি মাল্টি-কুইবিট গেটে সর্বদা প্রথম পরামিতি স্টেটভেক্টরের শেষ বিট হয়, অন্যদিকে কিছু অন্যান্য সুপরিচিত সিস্টেম লিটল-এন্ডিয়ান , সুতরাং বেশিরভাগ মাল্টি-কুইট গেটের ম্যাট্রিকগুলিতে রূপান্তর প্রয়োজন!
প্রধান বৈশিষ্ট্য
& # 8226; & # 8195; সর্বাধিক 10 কুইবিট
& # 8226; & # 8195; সর্বাধিক 4 কোয়েট সহ গেটস
& # 8226; & # 8195; প্রচুর পরিমাণে শট (2 2 20 অবধি)
& # 8226; & # 8195; প্রচুর পূর্বনির্ধারিত গেট
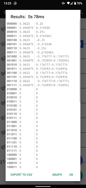
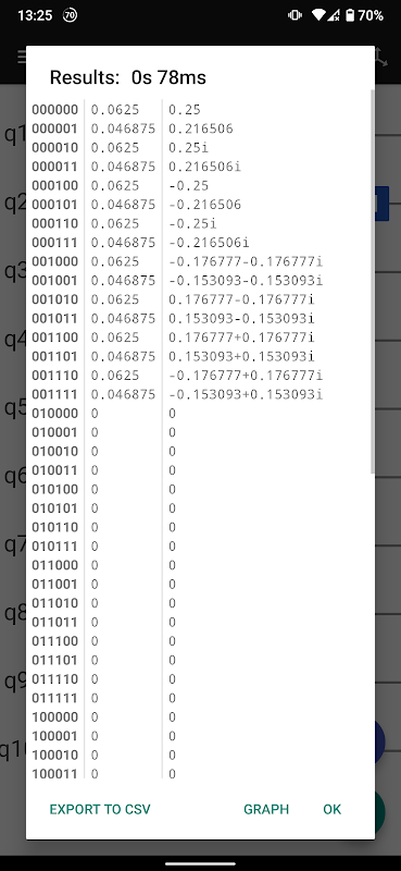
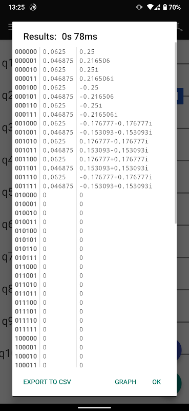
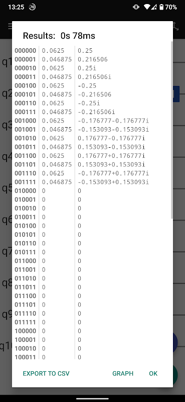
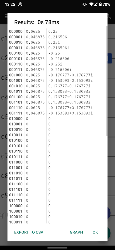
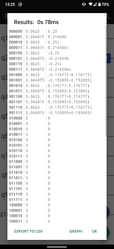
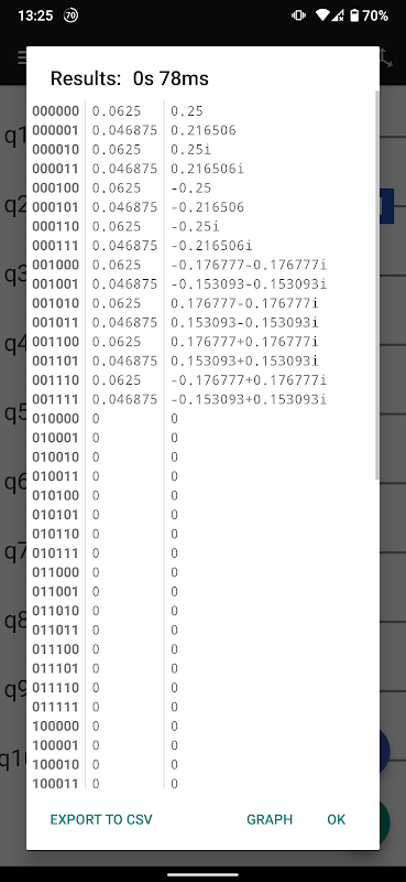
& # 8226; & # 8195; অবিলম্বে ফলাফল পান
& # 8226; & # 8195; ফলাফল রফতানি করুন
& # 8226; & # 8195; আমদানি / রফতানি গেটের ক্রম, ওপেনকিউএসএম হিসাবে রফতানি করুন
& # 8226; & # 8195; যে কোনও গেটের হারমেটিয়ান কনজুগেট নিন
& # 8226; & # 8195; ব্লচ গোলক দেখান (জড়িত নন-বিভক্তদের জন্য)
& # 8226; & # 8195; সিস্টেমের স্টেটভেেক্টর দেখান
& # 8226; & # 8195; অটো এবং অপ্ট-ইন সার্কিট অপ্টিমাইজেশন
পূর্বনির্ধারিত একক কুইট গেটস
& # 8226; & # 8195; হাডামারড
& # 8226; & # 8195; পাওলি-এক্স / ওয়াই / জেড
& # 8226; & # 8195; এস-গেট এবং টি-গেট (ফেজ শিফট)
& # 8226; & # 8195; OTনোট
& # 8226; & # 8195; পরিচয়
& # 8226; & # 8195; U3
পূর্বনির্ধারিত বহু কুইট গেটস
& # 8226; & # 8195; CNOT / CY / CZ (নিয়ন্ত্রিত-পাওলি)
& # 8226; & # 8195; নিয়ন্ত্রিত- এস, নিয়ন্ত্রিত-টি এবং নিয়ন্ত্রিত-হাডামারড গেটস
& # 8226; & # 8195; নিয়ন্ত্রিত ইউ 3
& # 8226; & # 8195; সুইপ
& # 8226; & # 8195; টফোলি
& # 8226; & # 8195; ফ্রেডকিন
& # 8226; & # 8195; কোয়ান্টাম ফুয়েরিয়ার রূপান্তর
পরিকল্পিত বৈশিষ্ট্য
লুপ এবং শর্ত সহ অ্যালগরিদমগুলি তৈরি এবং চালনা করুন
আরও ছোট সার্কিটের জন্য চূড়ান্ত একক ম্যাট্রিক্স প্রদর্শন করুন
মাল্টি-কুইট রাজ্যের আরও ভাল ভিজ্যুয়ালাইজ করুন
গিটহাবের সংগ্রহস্থলে অনুবাদকদের স্বাগত জানানো হয়:
https://github.com/hexadec/Quantum/blob/master/app/src/main/res/values/strings.xml
What's new in the latest 0.19.3–210731
- Fixed an extremely rare bug that caused the app to crash
0.19.1 & 0.19.2:
- Fixed a bug that crashed the app when the screen was rotated
- UX improvements
- Save the statevector so that the second run will be a lot faster
- Gate editor fixes
Quantum Computing APK Information
Quantum Computing এর পুরানো সংস্করণ
Quantum Computing 0.19.3–210731
Quantum Computing 0.18.7–201228
Quantum Computing 0.17.8–200702
Quantum Computing 0.17.7–200625
APKPure অ্যাপের মাধ্যমে অতি দ্রুত এবং নিরাপদ ডাউনলোড করা হচ্ছে
Android-এ XAPK/APK ফাইল ইনস্টল করতে এক-ক্লিক করুন!







