Over Quantum Computing
Creëer en voer onderweg eenvoudige kwantumcircuits uit
Een software voor Android die de acties van een kwantumcomputer emuleert
in wezen een kwantumcomputersimulator met beperkte functionaliteit
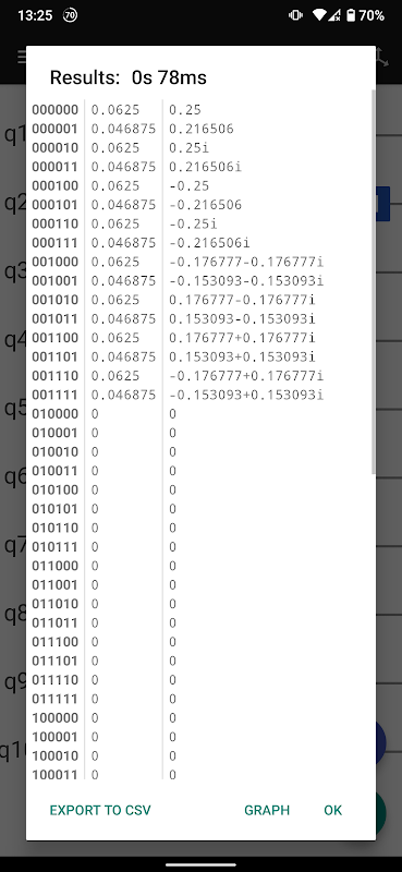
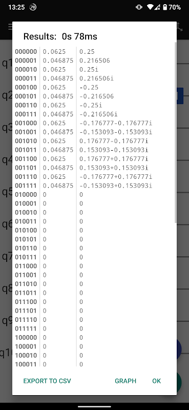
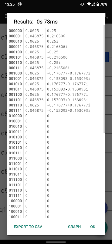
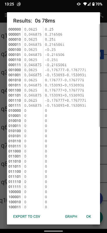
Het belangrijkste doel is om testen voor iedereen mogelijk te maken, zelfs onderweg. Omdat deze app slechts een emulator is, kan deze de positie van de qubits op de bloch-bol weergeven. Deze app kan ook de statevector van het systeem laten zien (in waarschijnlijkheidsmodus) en de laatste unitaire poort zal binnenkort ook toegankelijk zijn. De limiet is alleen de rekenkracht van uw apparaat!
Help met testen en word lid van het bètaprogramma voor nieuwe functionaliteit!
U kunt alle matrices op uw qubits toepassen zolang ze lid zijn van de groep SU (n) & # 8211; ze moeten unitair zijn en een eenheidsdeterminant hebben.
Over de backend
De applicatie maakt gebruik van een zelfgemaakte backend voor het simuleren van kwantumschakelingen. Het werkt nog niet met ruis. De backend is geschreven in Java en de volledige broncode is te vinden op GitHub op hexadec / Quantum
Houd er rekening mee dat de qubit-volgorde in deze applicatie Big-Endian is, wat betekent dat in een multi-qubit-poort altijd de eerste parameter het laatste bit in de statevector is, terwijl een ander bekend systeem dat wel is Little-Endian , dus de meeste multi-qubit-poortmatrices hebben conversie nodig!
Belangrijkste kenmerken
& # 8226; & # 8195; Maximaal 10 qubits
& # 8226; & # 8195; Gates met maximaal 4 qubits
& # 8226; & # 8195; Extreem hoog aantal opnamen (maximaal 2 ^ 20)
& # 8226; & # 8195; Veel voorgedefinieerde poorten
& # 8226; & # 8195; Krijg direct resultaten
& # 8226; & # 8195; Resultaten exporteren
& # 8226; & # 8195; Poortvolgorde importeren / exporteren, exporteren als OpenQASM
& # 8226; & # 8195; Neem de hermitische conjugaat van een poort
& # 8226; & # 8195; Bloch Sphere weergeven (voor niet-verstrengelde qubits)
& # 8226; & # 8195; Laat de statevector van het systeem zien
& # 8226; & # 8195; Automatische en opt-in circuitoptimalisatie
Voorgedefinieerde enkele qubit-poorten
& # 8226; & # 8195; Hadamard
& # 8226; & # 8195; Pauli-X / Y / Z
& # 8226; & # 8195; S-poort & T-poort (faseverschuiving)
& # 8226; & # 8195; √NIET
& # 8226; & # 8195; Identiteit
& # 8226; & # 8195; U3
Vooraf gedefinieerde multi-qubit-poorten
& # 8226; & # 8195; CNOT / CY / CZ (gecontroleerde Pauli)
& # 8226; & # 8195; Controlled-S, Controlled-T en Controlled-Hadamard-poorten
& # 8226; & # 8195; Gecontroleerde U3
& # 8226; & # 8195; SWAP
& # 8226; & # 8195; Toffoli
& # 8226; & # 8195; Fredkin
& # 8226; & # 8195; Quantum Fourier-transformatie
Geplande functies
Creëer en voer algoritmen uit met loops en voorwaarden
Geef de laatste unitaire matrix weer voor kleinere circuits
Visualiseer multi-qubit-staten beter
Vertalers zijn welkom in de GitHub-repository:
https://github.com/hexadec/Quantum/blob/master/app/src/main/res/values/strings.xml
What's new in the latest 0.19.3–210731
- Fixed an extremely rare bug that caused the app to crash
0.19.1 & 0.19.2:
- Fixed a bug that crashed the app when the screen was rotated
- UX improvements
- Save the statevector so that the second run will be a lot faster
- Gate editor fixes
Quantum Computing APK -informatie
Oude versies van Quantum Computing
Quantum Computing 0.19.3–210731
Quantum Computing 0.18.7–201228
Quantum Computing 0.17.8–200702
Quantum Computing 0.17.7–200625
Supersnel en veilig downloaden via de APKPure-app
Eén klik om XAPK/APK-bestanden op Android te installeren!







