Quantum Computing के बारे में
जाने पर सरल क्वांटम सर्किट बनाएं और निष्पादित करें
एंड्रॉइड के लिए एक सॉफ्टवेयर जो क्वांटम कंप्यूटर के कार्यों का अनुकरण करता है
अनिवार्य रूप से सीमित कार्यक्षमता के साथ क्वांटम कंप्यूटर सिम्युलेटर
यह मुख्य उद्देश्य है कि सभी को परीक्षण करना संभव हो, यहां तक कि चलते-फिरते भी। चूँकि यह ऐप केवल एक एमुलेटर है, यह बलोच क्षेत्र पर क्वाइबेट्स की स्थिति दिखा सकता है। यह ऐप सिस्टम की स्थिति को भी दिखा सकता है (संभावना मोड में) और अंतिम एकात्मक गेट भी जल्द ही सुलभ होगा। सीमा केवल आपके डिवाइस की कंप्यूटिंग शक्ति है!
परीक्षण करने में मदद करें और नई कार्यक्षमता के लिए बीटा प्रोग्राम में शामिल हों!
जब तक वे समूह SU (n) & # 8211 के सदस्य होते हैं, तब तक आप किसी भी मेट्रिसेस को अपने क्वेटर्स पर लागू कर सकते हैं; उन्हें एकात्मक होना होगा और एक इकाई निर्धारक होना होगा।
बैकएंड के बारे में
अनुप्रयोग क्वांटम सर्किट का अनुकरण करने के लिए एक घर-निर्मित बैकएंड का उपयोग करता है। यह अभी तक शोर के साथ काम नहीं करता है। बैकएंड जावा में लिखा गया है और पूरा स्रोत कोड GitHub पर हेक्साडेक / क्वांटम में पाया जा सकता है।
कृपया ध्यान रखें कि इस एप्लिकेशन में क्वैबिट ऑर्डर बिग-एंडियन है, जिसका अर्थ है कि मल्टी-क्वेट गेट में हमेशा पहला पैरामीटर स्टेटवेक्टर में अंतिम बिट होता है, जबकि कुछ अन्य प्रसिद्ध सिस्टम हैं लिटिल-एंडियन , इस प्रकार अधिकांश बहु-क्विट गेट मैट्रेस को रूपांतरण की आवश्यकता होती है!
मुख्य विशेषताएं
& # 8226; & # 8195; सबसे अधिक 10 बटेरों पर
& # 8226; & # 8195; गेट्स विथ मोस्ट 4 क्वबिट्स
& # 8226; & # 8195; अत्यधिक शॉट्स की संख्या (2 ^ 20 तक)
& # 8226; & # 8195; पूर्वनिर्धारित फाटकों के बहुत सारे
& # 8226; & # 8195; तुरंत परिणाम प्राप्त करें
& # 8226; & # 8195; निर्यात परिणाम
& # 8226; & # 8195; आयात / निर्यात गेट अनुक्रम, OpenQASM के रूप में निर्यात
& # 8226; & # 8195; किसी भी गेट के हेमरिटियन कंजुगेट को लें
& # 8226; & # 8195; ब्लो क्षेत्र दिखाएं (गैर-उलझी हुई क्वाइब के लिए)
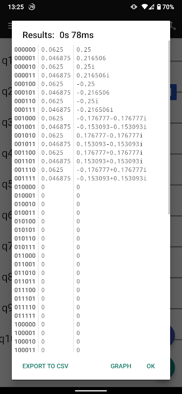
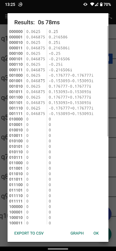
& # 8226; & # 8195; सिस्टम का स्टेटवेक्टर दिखाएं
& # 8226; & # 8195; ऑटो और ऑप्ट-इन सर्किट अनुकूलन
पूर्वनिर्धारित एकल qubit द्वार
& # 8226; & # 8195; Hadamard
& # 8226; & # 8195; पाउली एक्स / Y / Z
& # 8226; & # 8195; एस-गेट और टी-गेट (चरण-बदलाव)
& # 8226; & # 8195; √NOT
& # 8226; & # 8195; पहचान
& # 8226; & # 8195; U3
पूर्वनिर्धारित मल्टी क्विट गेट्स
& # 8226; & # 8195; CNOT / CY / CZ (नियंत्रित-पौली)
& # 8226; & # 8195; नियंत्रित-एस, नियंत्रित-टी और नियंत्रित-हेडर्ड द्वार
& # 8226; & # 8195; नियंत्रित U3
& # 8226; & # 8195; स्वैप
& # 8226; & # 8195; Toffoli
& # 8226; & # 8195; Fredkin
& # 8226; & # 8195; क्वांटम फूरियर ट्रांसफॉर्म
नियोजित विशेषताएं
लूप और शर्तों के साथ एल्गोरिदम बनाएं और चलाएं
छोटे सर्किट के लिए अंतिम एकात्मक मैट्रिक्स प्रदर्शित करें
मल्टी-क्वैबिट राज्यों को बेहतर रूप से कल्पना करें
GitHub भंडार में अनुवादकों का स्वागत किया जाता है:
https://github.com/hexadec/Quantum/blob/master/app/src/main/res/values/strings.xml
What's new in the latest 0.19.3–210731
- Fixed an extremely rare bug that caused the app to crash
0.19.1 & 0.19.2:
- Fixed a bug that crashed the app when the screen was rotated
- UX improvements
- Save the statevector so that the second run will be a lot faster
- Gate editor fixes
Quantum Computing APK जानकारी
Quantum Computing के पुराने संस्करण
Quantum Computing 0.19.3–210731
Quantum Computing 0.18.7–201228
Quantum Computing 0.17.8–200702
Quantum Computing 0.17.7–200625
APKPure ऐप के माध्यम से सुपर तेज़ और सुरक्षित डाउनलोडिंग
एंड्रॉइड पर XAPK/APK फ़ाइलें इंस्टॉल करने के लिए एक-क्लिक करें!







