Mengenai Mathematics O Level Notes
Aplikasi nota matematik peringkat O untuk sarjana peringkat Biasa.
Topik Disertakan:
Transformasi dalam Pesawat:
Transformasi dalam Satah melibatkan kajian pelbagai penjelmaan geometri seperti terjemahan, pantulan, putaran, dan pelebaran.
Matriks:
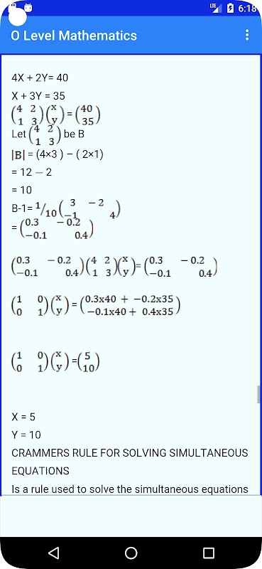
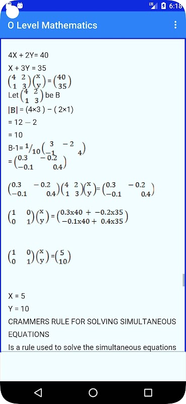
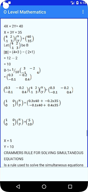
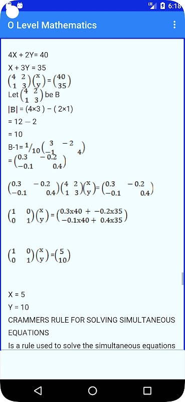
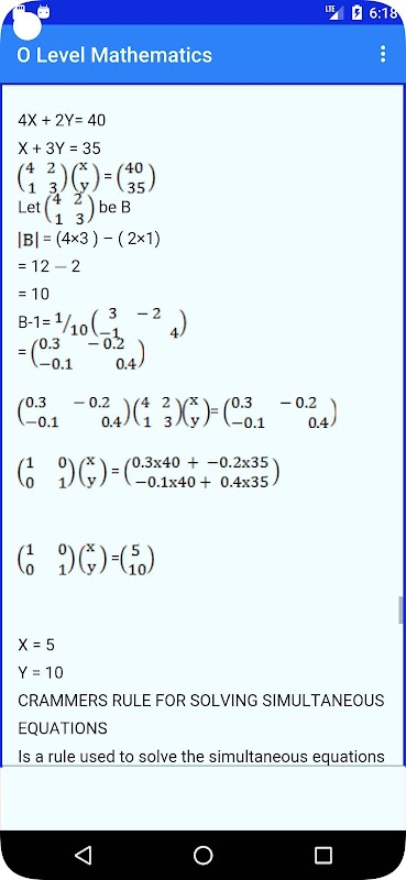
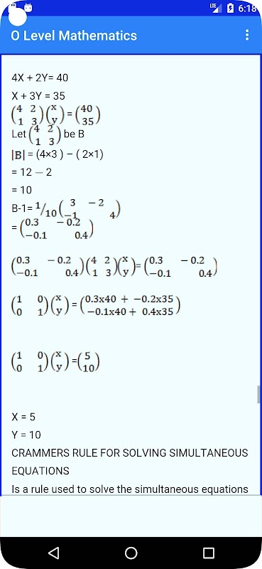
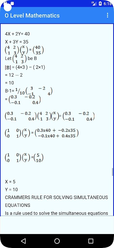
Matriks ialah tatasusunan segi empat tepat nombor yang digunakan untuk mewakili dan menyelesaikan sistem persamaan linear dan melakukan pelbagai operasi matematik.
Pengaturcaraan Linear:
Pengaturcaraan Linear menangani masalah pengoptimuman di mana ketaksamaan linear digunakan untuk mencari nilai maksimum atau minimum bagi fungsi objektif tertentu, tertakluk kepada kekangan.
Kebarangkalian:
Kebarangkalian ialah kajian tentang kemungkinan kejadian berlaku, dan ia melibatkan pengiraan peluang hasil yang berbeza dalam eksperimen rawak.
vektor:
Vektor ialah kuantiti matematik dengan kedua-dua magnitud dan arah. Ia digunakan dalam pelbagai aplikasi, seperti fizik dan kejuruteraan.
Trigonometri:
Trigonometri ialah kajian tentang segi tiga dan sudut dan sisinya. Ia termasuk nisbah trigonometri, fungsi, dan aplikasinya.
Angka Tiga Dimensi - Luas dan Isipadu:
Topik ini merangkumi luas permukaan dan isipadu bentuk tiga dimensi seperti kubus, prisma, piramid, silinder dan sfera.
Geometri Koordinat:
Geometri Koordinat melibatkan penggunaan koordinat untuk mengkaji bentuk geometri dan hubungan antara titik, garis dan lengkung dalam satah.
Menganggap Bumi sebagai Sfera:
Topik ini memfokuskan pada sifat sfera Bumi dan termasuk konsep seperti latitud, longitud dan bulatan hebat.
Bulatan:
Bulatan melibatkan kajian sifat dan persamaan bulatan dan aplikasinya dalam geometri dan geometri koordinat.
Urutan dan Siri:
Topik ini merangkumi jujukan dan siri aritmetik dan geometri, formulanya dan pengiraan jumlah.
Fungsi:
Fungsi melibatkan kajian hubungan matematik yang menetapkan setiap elemen dalam satu set kepada elemen unik dalam set lain.
Statistik:
Statistik ialah kajian pengumpulan data, organisasi, pembentangan, analisis, dan tafsiran untuk membuat keputusan termaklum.
Operasi Fungsi Polinomial:
Topik ini merangkumi pelbagai operasi yang melibatkan fungsi polinomial, seperti penambahan, penolakan, pendaraban dan pembahagian.
Kadar dan Variasi:
Kadar dan Variasi meneroka konsep kadar perubahan dan variasi langsung dan songsang.
Perhubungan:
Hubungan melibatkan kajian perkaitan antara dua set data atau pembolehubah.
Set:
Set melibatkan kajian koleksi unsur, dan operasinya, seperti penyatuan, persilangan dan pelengkap.
Jadual Trigonometri:
Jadual Trigonometri menyediakan rujukan nilai trigonometri untuk pelbagai sudut.
Teorem Pythagoras:
Teorem Pythagoras berkaitan dengan hubungan antara sisi segi tiga bersudut tegak.
Transformasi Geometrik:
Transformasi Geometri melibatkan pelbagai transformasi seperti pantulan, putaran dan terjemahan yang digunakan pada bentuk geometri.
Persamaan dan Pembesaran - Kekongruenan Poligon Mudah:
Topik ini merangkumi konsep persamaan, pembesaran dan kongruen bagi bentuk geometri.
Logaritma:
Logaritma melibatkan kajian hubungan songsang antara eksponen dan logaritma.
Persamaan Kuadratik:
Persamaan Kuadratik ialah persamaan polinomial darjah kedua dan penyelesaiannya.
Algebra - Eksponen dan Radikal:
Eksponen dan Radikal melibatkan kajian kuasa dan punca nombor.
Unit:
Unit melibatkan kajian unit ukuran yang berbeza dan penukarannya.
Nisbah, Untung dan Rugi:
Topik ini merangkumi konsep nisbah dan aplikasinya dalam pengiraan untung rugi.
Topik lain ialah:
Perimeter dan Luas
Anggaran
Algebra
Geometri Koordinat (1) dan (2)
Nombor Pecahan
What's new in the latest 6.0.F
Maklumat APK Mathematics O Level Notes
Versi lama Mathematics O Level Notes
Mathematics O Level Notes 6.0.F
Mathematics O Level Notes 4.0.A
Mathematics O Level Notes 1.0.A
Muat Turun Super Pantas dan Selamat melalui Apl APKPure
Satu klik untuk memasang fail XAPK/APK pada Android!







