Mathematics O Level Notes
6.1 MB
Bestandsgrootte
Everyone
Android 5.0+
Android OS
Over Mathematics O Level Notes
Wiskundenotities-app op O-niveau voor geleerden op gewoon niveau.
Onderwerpen inbegrepen:
Transformatie in het vliegtuig:
Transformation in the Plane omvat de studie van verschillende geometrische transformaties zoals translaties, reflecties, rotaties en dilataties.
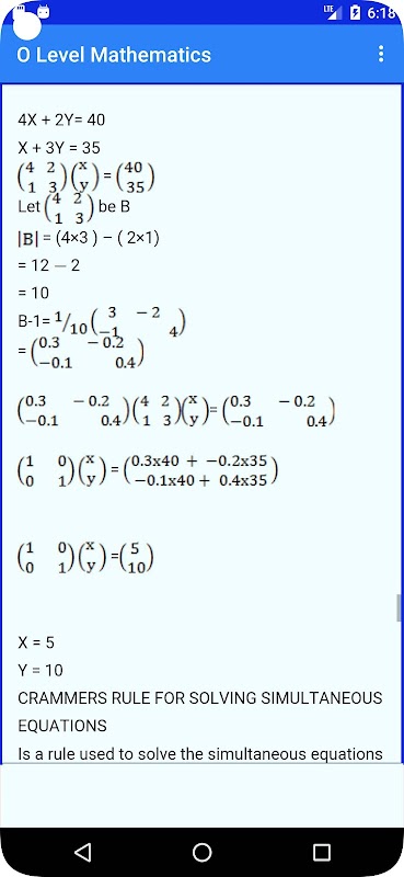
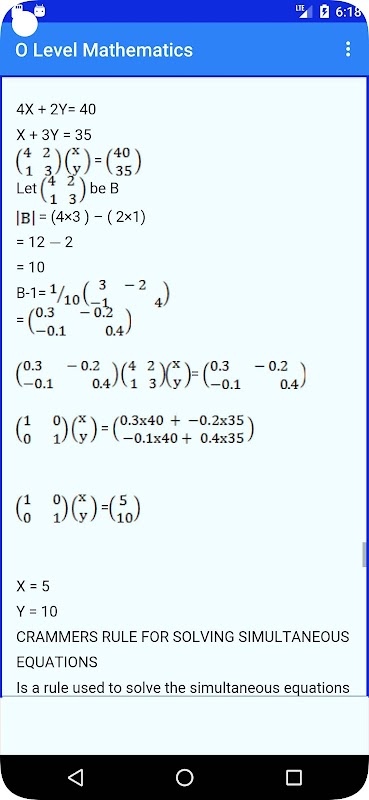
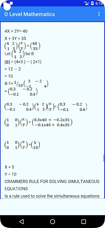
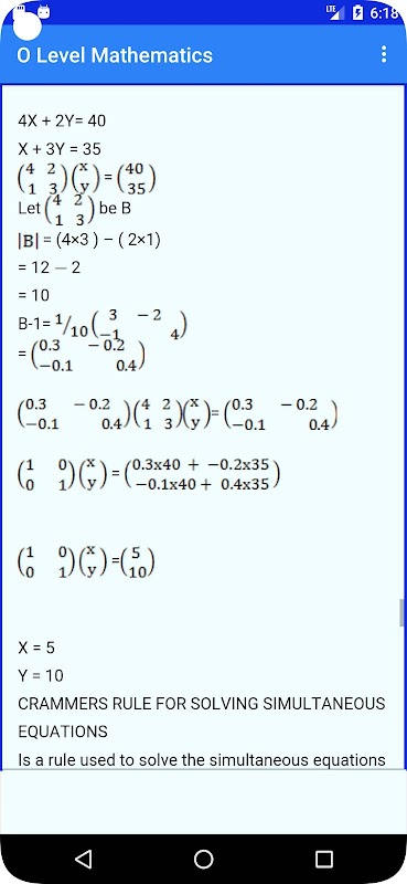
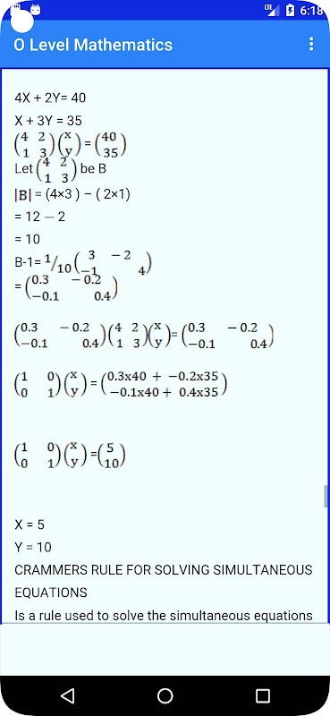
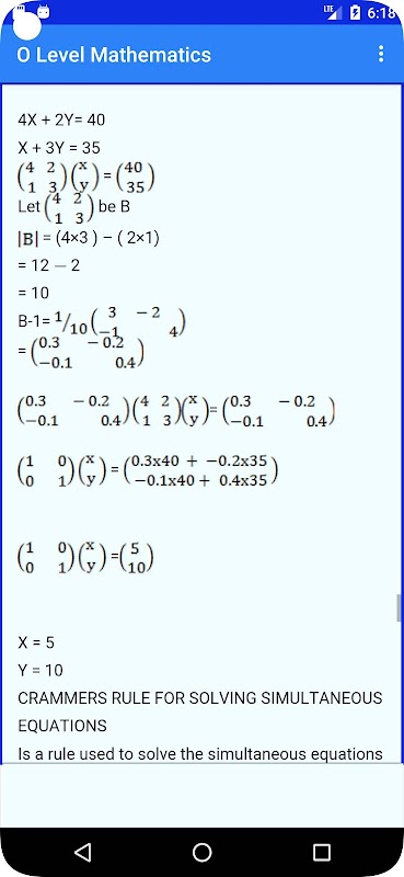
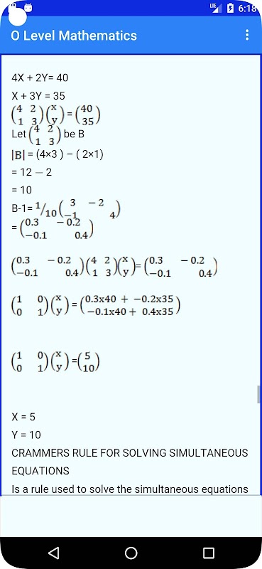
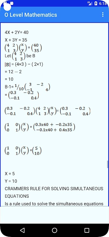
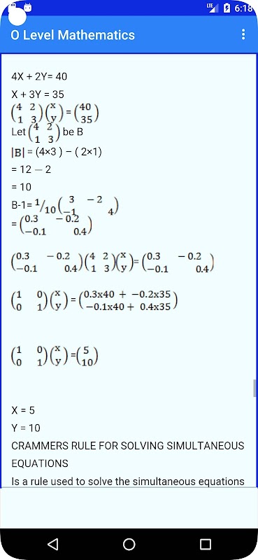
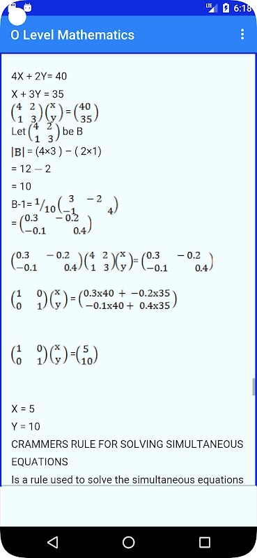
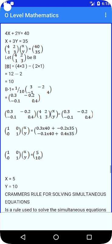
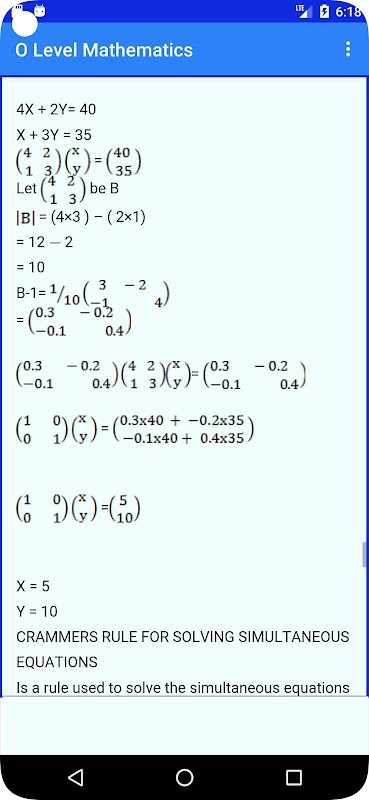
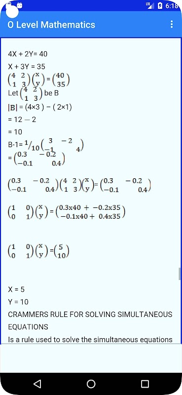
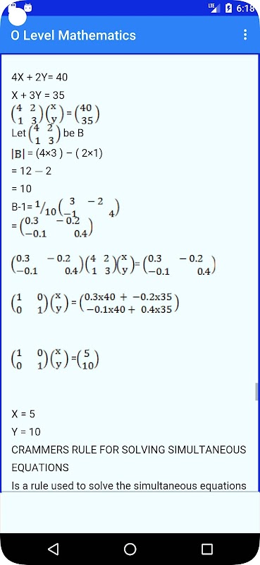
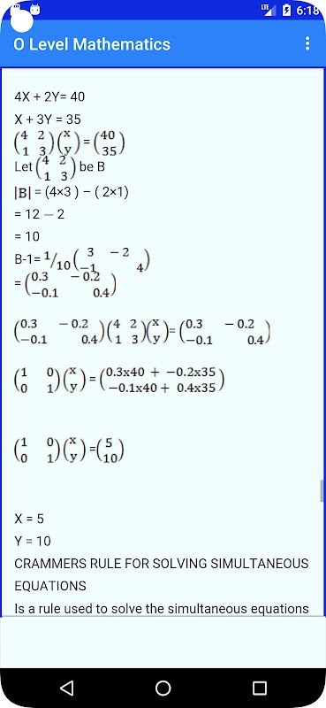
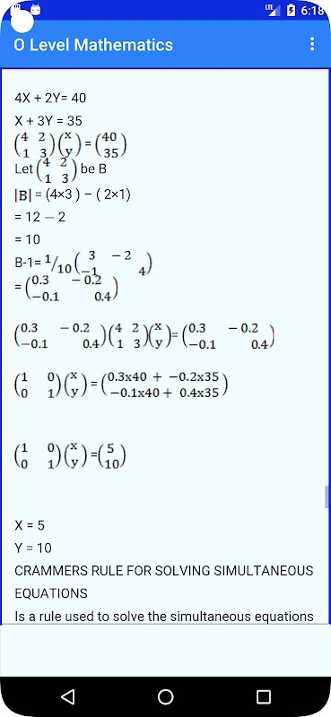
Matrices:
Matrices zijn rechthoekige getallenreeksen die worden gebruikt om systemen van lineaire vergelijkingen weer te geven en op te lossen en om verschillende wiskundige bewerkingen uit te voeren.
Lineair programmeren:
Lineaire programmering houdt zich bezig met optimalisatieproblemen waarbij lineaire ongelijkheden worden gebruikt om de maximale of minimale waarde van een bepaalde objectieve functie te vinden, onderhevig aan beperkingen.
Waarschijnlijkheid:
Waarschijnlijkheid is de studie van de waarschijnlijkheid dat gebeurtenissen zich voordoen, en het omvat het berekenen van de kansen op verschillende uitkomsten in willekeurige experimenten.
Vectoren:
Vectoren zijn wiskundige grootheden met zowel grootte als richting. Ze worden gebruikt in verschillende toepassingen, zoals natuurkunde en techniek.
Trigonometrie:
Trigonometrie is de studie van driehoeken en hun hoeken en zijden. Het bevat trigonometrische verhoudingen, functies en hun toepassingen.
Driedimensionale figuren - Gebieden en volumes:
Dit onderwerp behandelt de oppervlakten en volumes van driedimensionale vormen zoals kubussen, prisma's, piramides, cilinders en bollen.
Coördinaten geometrie:
Coördinatengeometrie omvat het gebruik van coördinaten om geometrische vormen en relaties tussen punten, lijnen en krommen in een vlak te bestuderen.
Verklaart de aarde als een bol:
Dit onderwerp richt zich op de sferische aard van de aarde en omvat concepten als breedtegraad, lengtegraad en grootcirkels.
Cirkel:
Circle omvat de studie van eigenschappen en vergelijkingen van cirkels en hun toepassingen in geometrie en coördinatengeometrie.
Volgorde en serie:
Dit onderwerp behandelt rekenkundige en meetkundige rijen en reeksen, hun formules en somberekeningen.
Functie:
Functies omvatten de studie van wiskundige relaties die elk element in de ene set toewijzen aan een uniek element in een andere set.
Statistieken:
Statistiek is de studie van gegevensverzameling, organisatie, presentatie, analyse en interpretatie om weloverwogen beslissingen te nemen.
Werking van polynoomfunctie:
Dit onderwerp behandelt verschillende bewerkingen met veeltermfuncties, zoals optellen, aftrekken, vermenigvuldigen en delen.
Tarieven en variaties:
Rates and Variations onderzoeken het concept van veranderingspercentages en directe en inverse variaties.
Relaties:
Relaties omvatten de studie van de verbanden tussen twee sets gegevens of variabelen.
Sets:
Sets omvatten de studie van verzamelingen elementen en hun operaties, zoals unie, intersectie en complement.
Trigonometrische tabellen:
Trigonometrische tabellen bieden een referentie van trigonometrische waarden voor verschillende hoeken.
De stelling van Pythagoras:
De stelling van Pythagoras heeft betrekking op de relatie tussen de zijden van een rechthoekige driehoek.
Geometrische Transformaties:
Geometrische transformaties omvatten verschillende transformaties zoals reflecties, rotaties en vertalingen toegepast op geometrische vormen.
Gelijkenis en vergroting - congruentie van eenvoudige veelhoek:
Dit onderwerp behandelt de concepten van gelijkenis, vergroting en congruentie voor geometrische vormen.
Logaritmen:
Logaritmen omvatten de studie van de omgekeerde relatie tussen exponenten en logaritmen.
Kwadratische vergelijking:
Kwadratische vergelijking is een tweedegraads polynoomvergelijking en zijn oplossingen.
Algebra - Exponenten en radicalen:
Exponenten en radicalen omvatten de studie van machten en wortels van getallen.
Eenheden:
Eenheden omvatten de studie van verschillende meeteenheden en hun conversies.
Verhouding, winst en verlies:
Dit onderwerp behandelt de concepten van ratio's en hun toepassingen in winst- en verliesberekeningen.
Andere onderwerpen zijn:
Omtrekken en gebied
benaderingen
Algebra
Coördinatengeometrie (1) en (2)
Breuken getallen
What's new in the latest 6.0.F
Mathematics O Level Notes APK -informatie
Oude versies van Mathematics O Level Notes
Mathematics O Level Notes 6.0.F
Mathematics O Level Notes 4.0.A
Mathematics O Level Notes 1.0.A
Supersnel en veilig downloaden via de APKPure-app
Eén klik om XAPK/APK-bestanden op Android te installeren!







