Mathematics O Level Notes
6.1 MB
फाइल का आकार
Everyone
Android 5.0+
Android OS
Mathematics O Level Notes के बारे में
साधारण स्तर के विद्वानों के लिए ओ लेवल गणित नोट्स ऐप।
विषय शामिल:
विमान में परिवर्तन:
समतल में परिवर्तन में अनुवाद, प्रतिबिंब, घूर्णन और फैलाव जैसे विभिन्न ज्यामितीय परिवर्तनों का अध्ययन शामिल है।
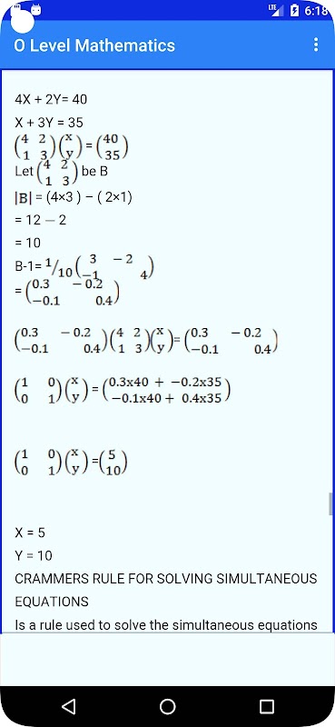
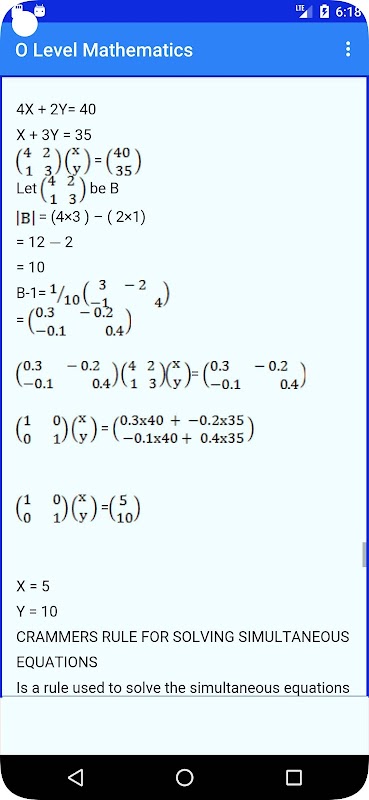
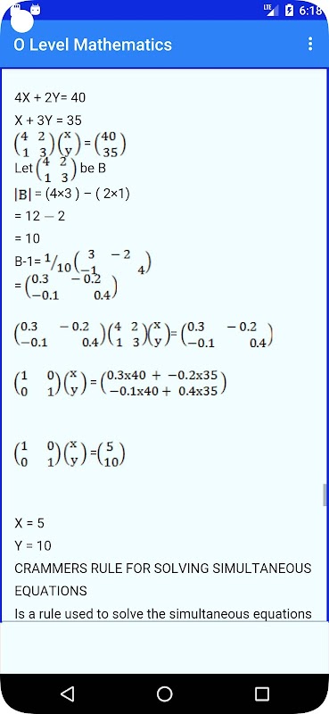
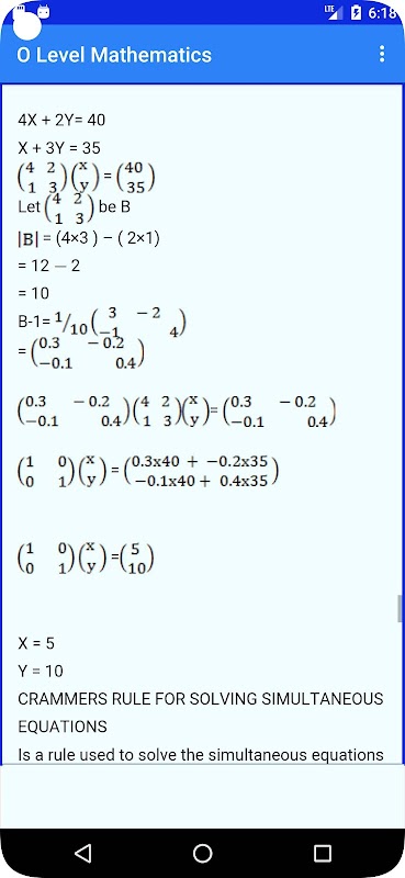
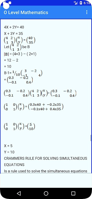
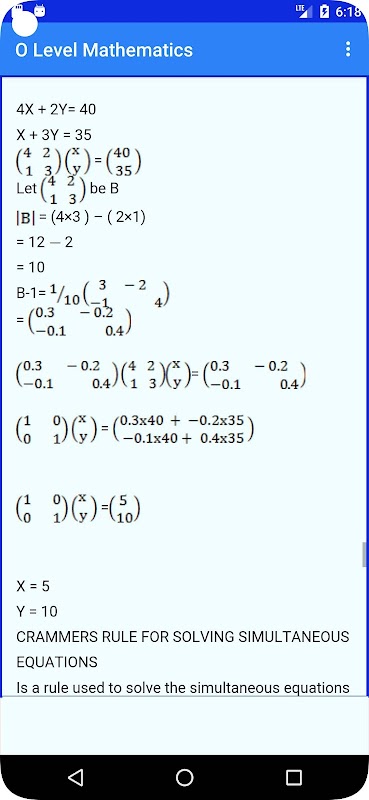
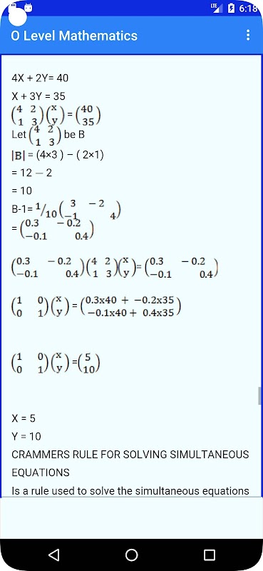
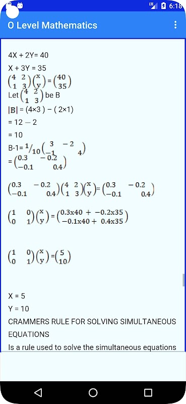
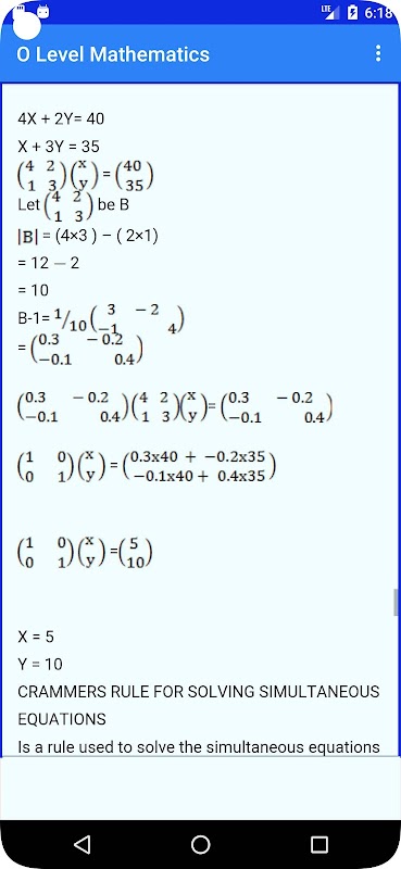
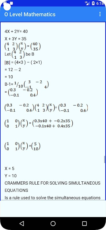
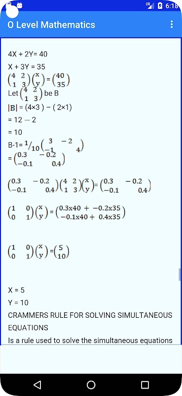
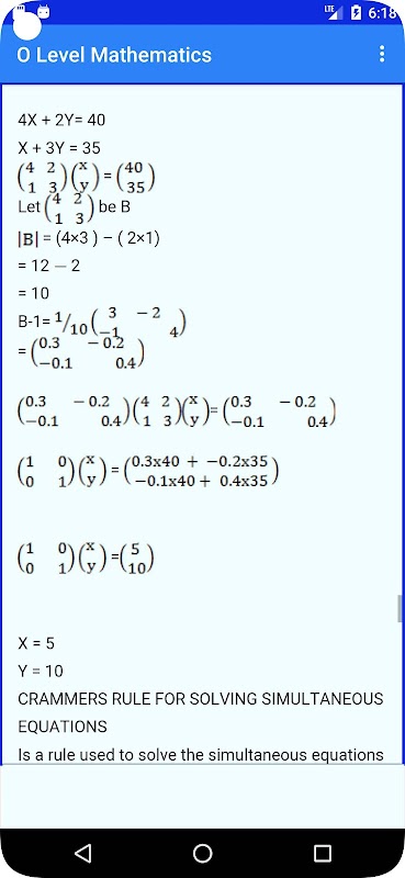
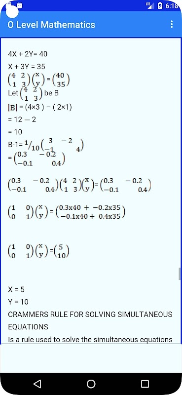
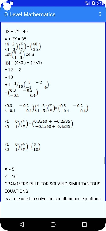
मैट्रिक्स:
मैट्रिक्स संख्याओं की आयताकार सारणी हैं जिनका उपयोग रैखिक समीकरणों की प्रणालियों को दर्शाने और हल करने और विभिन्न गणितीय संचालन करने के लिए किया जाता है।
रैखिक प्रोग्रामिंग:
रैखिक प्रोग्रामिंग अनुकूलन समस्याओं से संबंधित है जहां बाधाओं के अधीन किसी दिए गए उद्देश्य फ़ंक्शन के अधिकतम या न्यूनतम मूल्य को खोजने के लिए रैखिक असमानताओं का उपयोग किया जाता है।
संभावना:
संभाव्यता घटनाओं के घटित होने की संभावना का अध्ययन है, और इसमें यादृच्छिक प्रयोगों में विभिन्न परिणामों की संभावनाओं की गणना करना शामिल है।
वेक्टर:
सदिश परिमाण और दिशा दोनों वाली गणितीय मात्राएँ हैं। इनका उपयोग भौतिकी और इंजीनियरिंग जैसे विभिन्न अनुप्रयोगों में किया जाता है।
त्रिकोणमिति:
त्रिकोणमिति त्रिभुजों और उनके कोणों और भुजाओं का अध्ययन है। इसमें त्रिकोणमितीय अनुपात, कार्य और उनके अनुप्रयोग शामिल हैं।
त्रि-आयामी आकृतियाँ - क्षेत्रफल और आयतन:
यह विषय घन, प्रिज्म, पिरामिड, सिलेंडर और गोले जैसी त्रि-आयामी आकृतियों के सतह क्षेत्रों और आयतन को कवर करता है।
निर्देशांक ज्यामिति:
निर्देशांक ज्यामिति में एक समतल में बिंदुओं, रेखाओं और वक्रों के बीच ज्यामितीय आकृतियों और संबंधों का अध्ययन करने के लिए निर्देशांक का उपयोग शामिल है।
पृथ्वी को एक गोले के रूप में खाता है:
यह विषय पृथ्वी की गोलाकार प्रकृति पर केंद्रित है और इसमें अक्षांश, देशांतर और वृहत वृत्त जैसी अवधारणाएँ शामिल हैं।
घेरा:
सर्कल में सर्कल के गुणों और समीकरणों और ज्यामिति और समन्वय ज्यामिति में उनके अनुप्रयोगों का अध्ययन शामिल है।
अनुक्रम और शृंखला:
इस विषय में अंकगणित और ज्यामितीय अनुक्रम और श्रृंखला, उनके सूत्र और योग गणना शामिल हैं।
समारोह:
फ़ंक्शंस में गणितीय संबंधों का अध्ययन शामिल होता है जो एक सेट में प्रत्येक तत्व को दूसरे सेट में एक अद्वितीय तत्व को निर्दिष्ट करता है।
सांख्यिकी:
सांख्यिकी सूचित निर्णय लेने के लिए डेटा संग्रह, संगठन, प्रस्तुति, विश्लेषण और व्याख्या का अध्ययन है।
बहुपद फलन का संचालन:
यह विषय बहुपद कार्यों जैसे जोड़, घटाव, गुणा और भाग से संबंधित विभिन्न संक्रियाओं को शामिल करता है।
दरें और विविधताएँ:
दरें और विविधताएं परिवर्तन की दरों और प्रत्यक्ष और व्युत्क्रम विविधताओं की अवधारणा का पता लगाती हैं।
रिश्ते:
संबंधों में डेटा या चर के दो सेटों के बीच कनेक्शन का अध्ययन शामिल है।
सेट:
सेट में तत्वों के संग्रह और उनके संचालन, जैसे संघ, प्रतिच्छेदन और पूरक का अध्ययन शामिल है।
त्रिकोणमितीय तालिकाएँ:
त्रिकोणमितीय तालिकाएँ विभिन्न कोणों के लिए त्रिकोणमितीय मानों का संदर्भ प्रदान करती हैं।
पाइथागोरस प्रमेय:
पाइथागोरस प्रमेय एक समकोण त्रिभुज की भुजाओं के बीच संबंध से संबंधित है।
ज्यामितीय परिवर्तन:
ज्यामितीय परिवर्तनों में ज्यामितीय आकृतियों पर लागू प्रतिबिंब, घूर्णन और अनुवाद जैसे विभिन्न परिवर्तन शामिल होते हैं।
समानता और विस्तार - सरल बहुभुज की सर्वांगसमता:
यह विषय ज्यामितीय आकृतियों के लिए समानता, विस्तार और सर्वांगसमता की अवधारणाओं को शामिल करता है।
लघुगणक:
लघुगणक में घातांक और लघुगणक के बीच व्युत्क्रम संबंध का अध्ययन शामिल होता है।
द्विघात समीकरण:
द्विघात समीकरण एक द्वितीय-डिग्री बहुपद समीकरण और उसके समाधान हैं।
बीजगणित - घातांक और मूलांक:
घातांक और मूलांक में संख्याओं की घातों और मूलों का अध्ययन शामिल होता है।
इकाइयाँ:
इकाइयों में माप की विभिन्न इकाइयों और उनके रूपांतरणों का अध्ययन शामिल होता है।
अनुपात, लाभ और हानि:
यह विषय अनुपात की अवधारणाओं और लाभ और हानि की गणना में उनके अनुप्रयोगों को शामिल करता है।
अन्य विषय हैं:
परिधि और क्षेत्रफल
अनुमान
बीजगणित
निर्देशांक ज्यामिति (1) और (2)
भिन्न संख्याएँ
What's new in the latest 6.0.F
Mathematics O Level Notes APK जानकारी
Mathematics O Level Notes के पुराने संस्करण
Mathematics O Level Notes 6.0.F
Mathematics O Level Notes 4.0.A
Mathematics O Level Notes 1.0.A
APKPure ऐप के माध्यम से सुपर तेज़ और सुरक्षित डाउनलोडिंग
एंड्रॉइड पर XAPK/APK फ़ाइलें इंस्टॉल करने के लिए एक-क्लिक करें!







