About Mathematics O Level Notes
عام سطح کے اسکالرز کے لئے او لیول ریاضی نوٹ ایپ۔
شامل موضوعات:
ہوائی جہاز میں تبدیلی:
ہوائی جہاز میں تبدیلی میں مختلف ہندسی تبدیلیوں کا مطالعہ شامل ہے جیسے ترجمے، عکاسی، گردش، اور بازی۔
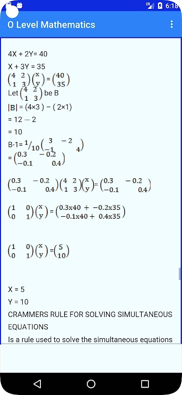
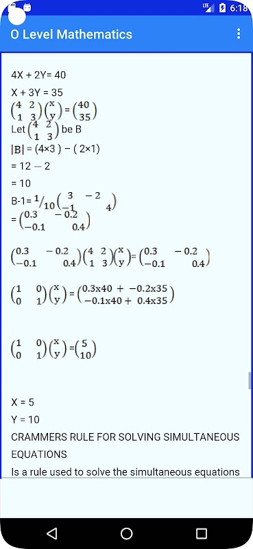
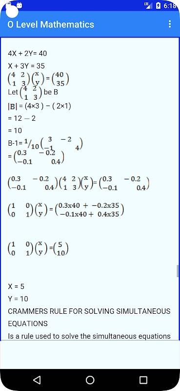
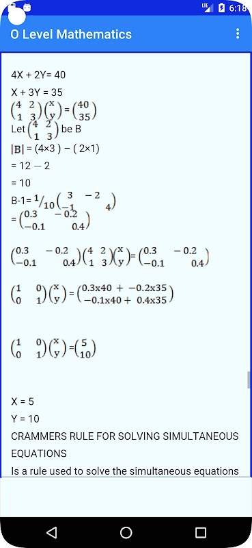
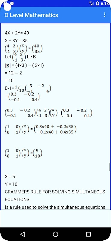
میٹرکس:
میٹرکس نمبروں کی مستطیل صفیں ہیں جو لکیری مساوات کے نظاموں کی نمائندگی اور حل کرنے اور مختلف ریاضیاتی کارروائیوں کو انجام دینے کے لیے استعمال ہوتی ہیں۔
لکیری پروگرامنگ:
لکیری پروگرامنگ اصلاح کے مسائل سے نمٹتی ہے جہاں لکیری عدم مساوات کا استعمال کسی دیے گئے مقصدی فنکشن کی زیادہ سے زیادہ یا کم از کم قدر تلاش کرنے کے لیے کیا جاتا ہے، جو کہ رکاوٹوں کے تابع ہے۔
امکان:
امکان واقعات کے وقوع پذیر ہونے کے امکانات کا مطالعہ ہے، اور اس میں بے ترتیب تجربات میں مختلف نتائج کے امکانات کا حساب لگانا شامل ہے۔
ویکٹر:
ویکٹر ریاضیاتی مقداریں ہیں جن کی شدت اور سمت دونوں ہیں۔ وہ مختلف ایپلی کیشنز، جیسے فزکس اور انجینئرنگ میں استعمال ہوتے ہیں۔
مثلثیات:
مثلثیات مثلث اور ان کے زاویوں اور اطراف کا مطالعہ ہے۔ اس میں مثلثی تناسب، افعال اور ان کے اطلاقات شامل ہیں۔
تین جہتی اعداد و شمار - علاقے اور حجم:
یہ موضوع سطح کے علاقوں اور تین جہتی اشکال جیسے کیوبز، پرزم، اہرام، سلنڈر، اور کرہوں کا احاطہ کرتا ہے۔
کوآرڈینیٹ جیومیٹری:
کوآرڈینیٹ جیومیٹری میں ہندسی اشکال کا مطالعہ کرنے کے لیے نقاط کا استعمال شامل ہے اور ہوائی جہاز میں پوائنٹس، لائنوں اور منحنی خطوط کے درمیان تعلقات۔
زمین کو ایک کرہ کے طور پر شمار کرتا ہے:
یہ موضوع زمین کی کروی نوعیت پر مرکوز ہے اور اس میں عرض بلد، طول البلد، اور عظیم دائرے جیسے تصورات شامل ہیں۔
دائرہ:
دائرے میں دائروں کی خصوصیات اور مساوات کا مطالعہ اور جیومیٹری اور کوآرڈینیٹ جیومیٹری میں ان کے اطلاقات شامل ہیں۔
سلسلہ اور سلسلہ:
اس موضوع میں ریاضی اور ہندسی ترتیب اور سلسلہ، ان کے فارمولے، اور جمع حسابات شامل ہیں۔
فنکشن:
فنکشنز میں ریاضیاتی تعلقات کا مطالعہ شامل ہے جو ایک سیٹ میں ہر عنصر کو دوسرے سیٹ میں ایک منفرد عنصر کو تفویض کرتا ہے۔
اعداد و شمار:
اعداد و شمار باخبر فیصلے کرنے کے لیے ڈیٹا اکٹھا کرنے، تنظیم، پیشکش، تجزیہ اور تشریح کا مطالعہ ہے۔
کثیر الثانی فعل کا آپریشن:
یہ موضوع متعدد افعال کا احاطہ کرتا ہے جس میں کثیر الثانی افعال شامل ہوتے ہیں، جیسے اضافہ، گھٹاؤ، ضرب، اور تقسیم۔
قیمتیں اور تغیرات:
شرحیں اور تغیرات تبدیلی کی شرحوں اور براہ راست اور معکوس تغیرات کے تصور کو دریافت کرتے ہیں۔
تعلقات:
تعلقات میں ڈیٹا کے دو سیٹوں یا متغیرات کے درمیان رابطوں کا مطالعہ شامل ہے۔
سیٹ:
سیٹوں میں عناصر کے مجموعوں اور ان کے کاموں کا مطالعہ شامل ہوتا ہے، جیسے یونین، تقطیع، اور تکمیل۔
مثلثی میزیں:
مثلثی میزیں مختلف زاویوں کے لیے مثلثی اقدار کا حوالہ فراہم کرتی ہیں۔
پائتھاگورس تھیوریم:
Pythagoras Theorem کا تعلق دائیں زاویہ مثلث کے اطراف کے درمیان تعلق سے ہے۔
جیومیٹریکل تبدیلیاں:
ہندسی تبدیلیوں میں مختلف تبدیلیاں شامل ہوتی ہیں جیسے عکاسی، گردش، اور ہندسی شکلوں پر لاگو ترجمہ۔
مماثلت اور وسعت - سادہ کثیر الاضلاع کی ہم آہنگی:
یہ موضوع ہندسی اشکال کے لیے مماثلت، وسعت، اور ہم آہنگی کے تصورات کا احاطہ کرتا ہے۔
لوگارتھمز:
لوگارتھمز میں ایکسپوننٹ اور لوگارتھمز کے درمیان الٹا تعلق کا مطالعہ شامل ہے۔
مربعی مساوات:
Quadratic Equation ایک دوسرے درجے کی کثیر الجہتی مساوات اور اس کے حل ہیں۔
الجبرا - ایکسپونینٹس اور ریڈیکلز:
ایکسپوننٹ اور ریڈیکلز میں طاقتوں اور اعداد کی جڑوں کا مطالعہ شامل ہے۔
یونٹس:
اکائیوں میں پیمائش کی مختلف اکائیوں اور ان کے تبادلوں کا مطالعہ شامل ہے۔
تناسب، منافع اور نقصان:
اس موضوع میں تناسب کے تصورات اور نفع و نقصان کے حسابات میں ان کے اطلاقات شامل ہیں۔
دیگر موضوعات یہ ہیں:
حدود اور رقبہ
تقریباً
الجبرا
کوآرڈینیٹ جیومیٹری (1) اور (2)
فریکشن نمبرز
What's new in the latest 6.0.F
Mathematics O Level Notes APK معلومات
کے پرانے ورژن Mathematics O Level Notes
Mathematics O Level Notes 6.0.F
Mathematics O Level Notes 4.0.A
Mathematics O Level Notes 1.0.A
APKPure ایپکےذریعےانتہائی تیزاورمحفوظڈاؤنلوڈنگ
Android پر XAPK/APK فائلیںانسٹالکرنےکےلیےایککلککریں!







