About Engineering Maths 1
انجینئرنگ ریاضی: فوری سیکھنے اور نظر ثانی کے لیے مکمل ہینڈ بک
اس مفت، جامع موبائل ایپ کے ساتھ انجینئرنگ ریاضی!
انجینئرنگ کے طلبا کے لیے تیار کردہ، یہ ایپ 80 ضروری موضوعات کو تفصیل کے ساتھ احاطہ کرتی ہے، جو 5 ابواب میں پھیلی ہوئی ہے، جو اسے سیکھنے، نظر ثانی کرنے اور امتحانات یا انٹرویوز کی تیاری کے لیے آپ کا حتمی ساتھی بناتی ہے۔
واضح وضاحتوں، خاکوں، مساواتوں اور فارمولوں کے ساتھ، یہ ایپ کلیدی ریاضیاتی تصورات کی گہرائی سے تفہیم پیش کرتی ہے۔ چاہے آپ امتحانات کے لیے پڑھ رہے ہوں یا اسائنمنٹس کے دوران فوری حوالہ کی ضرورت ہو، یہ ایپ آپ کو اہم موضوعات پر تیزی سے عبور حاصل کرنے میں مدد کرے گی۔
اہم خصوصیات:
80 موضوعات کی مکمل کوریج: تفصیلی نوٹ، وضاحتیں، اور مثالیں جو انجینئرنگ ریاضی کے تمام ضروری موضوعات کا احاطہ کرتی ہیں۔
5 اچھی ساخت والے ابواب: منظم طریقے سے سیکھنے کے لیے منظم مواد۔
ڈایاگرام اور فارمولے صاف کریں: بصری امداد اور آسان سمجھنے کے لیے ضروری ریاضیاتی فارمولے۔
فوری سیکھنے کے لیے موزوں: امتحان پر نظرثانی، انٹرویوز، یا فوری حوالہ گائیڈ کے لیے مثالی۔
موبائل فرینڈلی انٹرفیس: آسان نیویگیشن اور دیکھنے کے لیے ڈیزائن کیا گیا، موبائل آلات کے لیے بہتر بنایا گیا۔
استعمال میں آسان انٹرفیس: ایک صارف دوست تجربہ جو سیکھنے کو آسان اور موثر بناتا ہے۔
شامل موضوعات:
لیبنٹز تھیوریم
Leibnitz Theorem پر مسائل
تفریق کیلکولس-I
گھماؤ کا رداس
پیرامیٹرک شکل میں گھماؤ کا رداس
گھماؤ کے رداس پر مسائل
قطبی شکل میں گھماؤ کا رداس
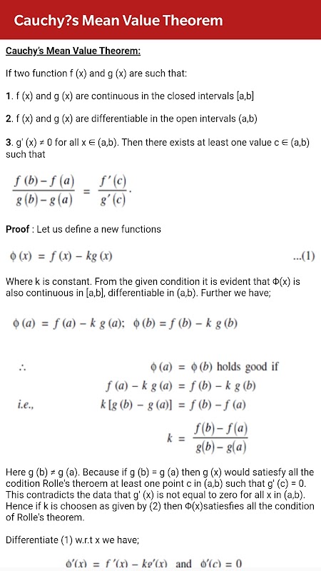
کاچی کا اوسط قدر کا نظریہ
ٹیلر کا نظریہ
بنیادی نظریہ پر مسائل
جزوی مشتقات
Euler-Lagrange مساوات
وکر کا سراغ لگانا
متغیر تھیوریم کی تبدیلی
تفریق کیلکولس I پر مسائل
غیر متعین فارم
L'اسپتال کے اصول پر مسائل
مختلف غیر متعین شکلیں۔
مختلف غیر متعین شکلوں پر مسائل
دو متغیرات کے افعال کے لیے ٹیلر کا نظریہ
ٹیلر کے تھیوریم پر مسائل
دو متغیرات کے افعال کا میکسیما اور منیما
دو متغیرات کے افعال کے میکسیما اور منیما پر مسائل
لگرینج کا غیر متعین ملٹی پلائر کا طریقہ
Lagrange کے طریقہ کار میں مسائل
قطبی منحنی خطوط
قطبی منحنی خطوط پر مسائل
تبدیلی کا جیکوبیان
متعدد متغیرات کے افعال کی انتہا
تفریق کیلکولس II پر مسائل
متعدد انٹیگرلز
متعدد انٹیگرلز پر مسائل
انضمام کی ترتیب کو تبدیل کرکے ڈبل انٹیگرل
رقبہ اور حجم کے لیے درخواستیں۔
رقبہ اور حجم کی درخواستوں پر مسائل
بیٹا اور گاما فنکشنز
بیٹا اور گاما افعال کے درمیان تعلق
بیٹا اور گاما فنکشنز پر مسائل
ڈیریچلیٹ انٹیگرل
ڈیریچلیٹ انٹیگرل اور فوئیر سیریز
Dirichlet Integrals پر مسائل
ٹرپل انٹیگرلز
بیلناکار نقاط کا استعمال کرتے ہوئے ٹرپل انٹیگرلز
انٹیگرلز پر مسائل
انٹیگرلز پر معروضی سوالات
ویکٹر کے افعال
ویکٹر لائن انٹیگرل
گرین کا نظریہ
Gauss Divergence Theorem
سٹوک کا نظریہ
سطح اور حجم انٹیگرلز
انٹیگرلز تھیوریم پر مسائل
ویکٹر کا دشاتمک مشتق
ویکٹر گریڈینٹ
لائن انٹیگرل کا تھیوریم
آرتھوگونل کرویلینیئر کوآرڈینیٹس
تفریق آپریٹرز
ویکٹر کا انحراف
ویکٹر کا کرل
ویکٹر کیلکولس پر مسائل
میٹرکس کا تعارف
میٹرکس کی خصوصیات
اسکیلر ضرب
میٹرکس ضرب
میٹرکس کی منتقلی
غیر واحد میٹرکس
میٹرکس کا ایکیلون فارم
تعین کرنے والے
تعین کرنے والوں کی خصوصیات
لکیری مساوات کا نظام
لکیری نظام کا حل
الٹا طریقہ سے لکیری نظام کا حل
میٹرکس کا درجہ اور ٹریس
کیلی ہیملٹن تھیوریم
Eigenvalues اور Eigenvectors
Eigenvalues اور Eigenvectors کو تلاش کرنے کا طریقہ
آپ کو اس ایپ کی ضرورت کیوں ہے:
جامع کوریج: چاہے آپ ابھی شروعات کر رہے ہوں یا نظر ثانی کر رہے ہوں، یہ ایپ آپ کو انجینئرنگ ریاضی کے لیے درکار ہر چیز کا احاطہ کرتی ہے۔
امتحان کے موضوعات پر توجہ مرکوز کریں: آپ کو اعتماد کے ساتھ امتحانات کی تیاری میں مدد کرنے کے لیے کلیدی تصورات اور عنوانات کا تفصیل سے احاطہ کیا گیا ہے۔
تفصیلی وضاحتیں: گہرائی والے نوٹس اور مسئلہ حل کرنے والی مثالیں پیچیدہ موضوعات کو سمجھنے میں آسانی پیدا کرتی ہیں۔
فوری حوالہ کے لئے کامل: ایک تصور پر برش کرنے کی ضرورت ہے؟ یہ ایپ آپ کو تمام عنوانات تک تیز رسائی فراہم کرتی ہے، اسے فوری حوالہ اور نظر ثانی کے لیے بہترین بناتی ہے۔
کہیں بھی مطالعہ کریں: موبائل کے استعمال کے لیے موزوں ہے، تاکہ آپ چلتے پھرتے، کسی بھی وقت، کہیں بھی مطالعہ کر سکیں۔
What's new in the latest 15.0
Engineering Maths 1 APK معلومات
کے پرانے ورژن Engineering Maths 1
Engineering Maths 1 15.0
Engineering Maths 1 14.0
Engineering Maths 1 1.13
Engineering Maths 1 1.11
APKPure ایپکےذریعےانتہائی تیزاورمحفوظڈاؤنلوڈنگ
Android پر XAPK/APK فائلیںانسٹالکرنےکےلیےایککلککریں!







