Engineering Maths 1 के बारे में
इंजीनियरिंग गणित: त्वरित सीखने और संशोधन के लिए संपूर्ण पुस्तिका
इस मुफ़्त, व्यापक मोबाइल ऐप के साथ इंजीनियरिंग गणित!
इंजीनियरिंग छात्रों के लिए डिज़ाइन किया गया यह ऐप 5 अध्यायों में फैले 80 आवश्यक विषयों को विस्तार से कवर करता है, जो इसे सीखने, दोहराने और परीक्षा या साक्षात्कार की तैयारी के लिए आपका अंतिम साथी बनाता है।
स्पष्ट स्पष्टीकरण, आरेख, समीकरण और सूत्रों के साथ, यह ऐप प्रमुख गणितीय अवधारणाओं की गहन समझ प्रदान करता है। चाहे आप परीक्षाओं के लिए पढ़ रहे हों या असाइनमेंट के दौरान त्वरित संदर्भ की आवश्यकता हो, यह ऐप आपको महत्वपूर्ण विषयों पर शीघ्रता से महारत हासिल करने में मदद करेगा।
प्रमुख विशेषताऐं:
80 विषयों की संपूर्ण कवरेज: सभी आवश्यक इंजीनियरिंग गणित विषयों को कवर करने वाले विस्तृत नोट्स, स्पष्टीकरण और उदाहरण।
5 अच्छी तरह से संरचित अध्याय: व्यवस्थित सीखने के लिए व्यवस्थित सामग्री।
स्पष्ट आरेख और सूत्र: आसान समझ के लिए दृश्य सहायता और आवश्यक गणितीय सूत्र।
त्वरित सीखने के लिए अनुकूलित: परीक्षा पुनरीक्षण, साक्षात्कार या त्वरित संदर्भ मार्गदर्शिका के लिए आदर्श।
मोबाइल-अनुकूल इंटरफ़ेस: आसान नेविगेशन और देखने के लिए डिज़ाइन किया गया, मोबाइल उपकरणों के लिए अनुकूलित।
उपयोग में आसान इंटरफ़ेस: एक उपयोगकर्ता-अनुकूल अनुभव जो सीखने को सरल और प्रभावी बनाता है।
कवर किए गए विषय:
लीबनिट्ज़ प्रमेय
लीबनिट्ज़ प्रमेय पर समस्याएं
डिफरेंशियल कैलकुलस-I
वक्रता त्रिज्या
पैरामीट्रिक रूप में वक्रता का त्रिज्या
वक्रता त्रिज्या पर समस्याएँ
ध्रुवीय रूप में वक्रता का त्रिज्या
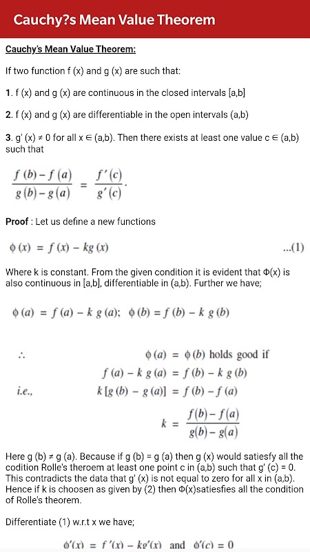
कॉची का माध्य मान प्रमेय
टेलर का प्रमेय
मौलिक प्रमेय पर समस्याएं
आंशिक व्युत्पन्न
यूलर-लैग्रेंज समीकरण
वक्र अनुरेखण
चर प्रमेय का परिवर्तन
डिफरेंशियल कैलकुलस I पर समस्याएं
अनिश्चित प्रपत्र
एल'हॉस्पिटल के नियम पर समस्याएँ
विभिन्न अनिश्चित रूप
विभिन्न अनिश्चित प्रपत्रों पर समस्याएँ
दो चरों के फलनों के लिए टेलर का प्रमेय
टेलर के प्रमेय पर समस्याएँ
दो चरों के कार्यों की मैक्सिमा और मिनिमा
दो चरों के कार्यों की मैक्सिमा और मिनिमा पर समस्याएं
अनिर्धारित गुणकों की लैग्रेंज विधि
लैग्रेंज की विधि पर समस्याएँ
ध्रुवीय वक्र
ध्रुवीय वक्रों पर समस्याएँ
परिवर्तन के जैकोबियन
अनेक चरों के फलनों की एक्स्ट्रेमा
डिफरेंशियल कैलकुलस II पर समस्याएं
एकाधिक इंटीग्रल
एकाधिक इंटीग्रल पर समस्याएँ
एकीकरण के क्रम को बदलकर दोहरा इंटीग्रल
क्षेत्र और आयतन के लिए अनुप्रयोग
क्षेत्रफल और आयतन के अनुप्रयोग पर समस्याएँ
बीटा और गामा कार्य
बीटा और गामा कार्यों के बीच संबंध
बीटा और गामा फ़ंक्शंस पर समस्याएं
डिरिचलेट इंटीग्रल
डिरिचलेट इंटीग्रल और फूरियर सीरीज
डिरिचलेट इंटीग्रल्स पर समस्याएं
ट्रिपल इंटीग्रल
बेलनाकार निर्देशांक का उपयोग करते हुए ट्रिपल इंटीग्रल
इंटीग्रल्स पर समस्याएं
इंटीग्रल्स पर वस्तुनिष्ठ प्रश्न
वेक्टर फ़ंक्शंस
वेक्टर लाइन इंटीग्रल
ग्रीन का प्रमेय
गॉस विचलन प्रमेय
स्टोक का प्रमेय
सतह और आयतन इंटीग्रल
इंटीग्रल्स प्रमेय पर समस्याएं
वेक्टर की दिशात्मक व्युत्पत्ति
वेक्टर ग्रेडिएंट
रेखा समाकलन का प्रमेय
ऑर्थोगोनल वक्ररेखीय निर्देशांक
विभेदक संचालक
वेक्टर का विचलन
वेक्टर का कर्ल
वेक्टर कैलकुलस पर समस्याएं
मैट्रिसेस का परिचय
मैट्रिक्स के गुण
अदिश गुणन
मैट्रिक्स गुणन
मैट्रिक्स का स्थानांतरण
नॉनसिंगुलर मैट्रिक्स
मैट्रिक्स का सोपानक रूप
निर्धारकों
निर्धारकों के गुण
रैखिक समीकरणों की प्रणाली
एक रेखीय प्रणाली का समाधान
व्युत्क्रम विधि द्वारा रैखिक प्रणाली का समाधान
मैट्रिक्स की रैंक और ट्रेस
केली-हैमिल्टन प्रमेय
आइगेनवैल्यूज़ एवं आइगेनवेक्टर्स
आइजनवैल्यू और आइजेनवेक्टर खोजने की विधि
आपको इस ऐप की आवश्यकता क्यों है:
व्यापक कवरेज: चाहे आप अभी शुरुआत कर रहे हों या संशोधित कर रहे हों, यह ऐप इंजीनियरिंग गणित के लिए आपकी ज़रूरत की हर चीज़ को कवर करता है।
परीक्षा के विषयों पर ध्यान दें: आपको आत्मविश्वास के साथ परीक्षा की तैयारी में मदद करने के लिए मुख्य अवधारणाओं और विषयों को विस्तार से शामिल किया गया है।
विस्तृत स्पष्टीकरण: गहन नोट्स और समस्या-समाधान के उदाहरण जटिल विषयों को समझना आसान बनाते हैं।
त्वरित संदर्भ के लिए बिल्कुल उपयुक्त: किसी अवधारणा पर गहनता से विचार करने की आवश्यकता है? यह ऐप आपको सभी विषयों तक त्वरित पहुंच प्रदान करता है, जो इसे त्वरित संदर्भ और संशोधन के लिए उपयुक्त बनाता है।
कहीं भी अध्ययन करें: मोबाइल उपयोग के लिए अनुकूलित, ताकि आप चलते-फिरते, कभी भी, कहीं भी अध्ययन कर सकें।
What's new in the latest 15.0
Engineering Maths 1 APK जानकारी
Engineering Maths 1 के पुराने संस्करण
Engineering Maths 1 15.0
Engineering Maths 1 14.0
Engineering Maths 1 1.13
Engineering Maths 1 1.11
APKPure ऐप के माध्यम से सुपर तेज़ और सुरक्षित डाउनलोडिंग
एंड्रॉइड पर XAPK/APK फ़ाइलें इंस्टॉल करने के लिए एक-क्लिक करें!







